Бронхиальная астма у детей
Бронхиальная астма – это заболевание, в основе которого лежит хроническое аллергическое воспаление дыхательных путей и бронхиальная гиперреактивность, что приводит к возникновению приступов обратимой бронхиальной обструкции, обусловленной гиперсекрецией, спазмом гладкой мускулатуры, отеком и клеточной инфильтрацией слизистой бронхов и проявляющейся повторяющимся эпизодами свистящих хрипов, одышки, чувства стеснения в груди и кашля, особенно ночью или ранним утром.
Этиология.
Причины развития аллергии полностью не раскрыты, однако несомненным является то, что в патогенезе одинаково важную роль играют как особенности аллергенов, так и особенности организма, на который аллерген воздействует.
Аллерген – это одно из ключевых понятий иммунологии. Аллергенами называют антигены, вызывающие реакции аллергической гиперчувствительности. Большинство аллергенов являются растворимыми протеинами или гликопротеинами с молекулярной массой 10–40 килодальтон (кД). При определенных обстоятельствах углеводы и другие низкомолекулярные химические соединения, такие, как изоцианаты, ангидриды, хром, никель, формальдегид и др., а также некоторые лекарственные средства выступают в качестве гаптенов, способных связываться с белками и вызывать образование IgE-ан- тител.
Аллергены обычно не имеют совсем или имеют очень низкую токсичность (исключение составляют компоненты ядов некоторых насекомых), но могут спровоцировать развитие патологической реакции из-за их способности индуцировать IgE- опосредованный иммунный ответ.
Многие из аллергенов – ферменты, поэтому предполагается, что способность вызывать сильные ответы ТЪ2-типа на ферменты развилась под давлением естественного отбора, который «поддерживал» развитие адекватного иммунного противопаразитарного ответа. Ферменты необходимы паразитам для успешного проникновения через тканевые барьеры организма и перемещения в межклеточном пространстве. Кишечные гельминты выделяют ферменты всей своей поверхностью. В результате ферменты являются своего рода визитной карточкой паразитарной инфекции.
Проникая в слизистую, паразитарные ферменты, будучи чужеродными антигенами, связываются с клеточными рецепторами В-лимфоцитов, а затем презентируются на поверхности этих клеток. Нулевые Т-хелперы, распознавшие антиген на В-лимфоците, превращаются в ТЪ2-типа, начиная секретировать IL4, 5, 10, 13. Под действием IL4 В-лифоцит, презентиро- вавший антиген, начинает усиленно размножаться, причем часть В-лимфоцитов превращается в плазматические клетки, продуцитующие преимущественно IgE, специфический для данного антигена. Молекулы IgE связываются с FcrRl-рецепторами тучных клеток и базофилов и становятся специфиче-скими рецепторами этих клеток. Процесс называется сенсибилизацией и занимает 3–6 недель. Повторное проникновение антигена в слизистую и связывание его с IgE на тучных клетках вызывает дегрануляцию последних. Освободившийся в результате этого гистамин стимулирует гиперсекрецию слизи, которая обволакивает паразита, мешая ему зафиксироваться в кишечнике, а также вызывает спастические сокращения кишечника, способствующие удалению паразита.
При БА противопаразитарный иммунитет является сценарием, по которому развиваются реакции на схожие с паразитарными, но безвредные ферменты, производимые растениями, насекомыми и животными, а сценой служит слизистая, но не кишечника, а дыхательных путей.
Считается, что предрасположенность к аллергическим реакциям обусловлена как наследственными, так и приобретенными особенностями организма, и определяется склонностью к Независимым реакциям, а также рестриктированностью аллергенов по HLA классов DP и DR.
Патогенез.
Ведущую роль в патогенезе бронхиальной астмы играют хроническое аллергическое воспаление и повышенная реактивность бронхов, которые приводят к периодической обратимой бронхиальной обструкции.
Медиаторы, выбрасываемые тучными клетками, влияют на тонус бронхов и сосудов. Гистамин вызывает мгновенный и кратковременный бронхоспазм, тогда как лейкотриены – отсроченный и более длительный.
Наряду с отеком и гиперсекрецией, вызываемыми гистамином и лейкотриенами, большой вклад в бронхиальную обструкцию при хроническом аллергическом воспалении вносит клеточная инфильтрация. Медиаторы стимулируют миграцию вначале эозинофилов и нейтрофилов, а при более длительном течении – процесса моноцитов и лимфоцитов. Этим частично объяснятся резистентность к терапевтическим воздействиям, особенно к тем, которые направлены преимущественно на блокаду эффектов медиаторов тучных клеток.
Второй патогенетический фактор – гиперреактивность бронхов, т. е. склонность отвечать бронхоконстрикцией на большое число специфических и неспецифических стимулов. Эти стимулы могут непосредственно влиять на механизмы бронхиальной обструкции, например гистамин или метахолин, или действовать опосредованно – при физических нагрузках, воздействии холодного воздуха, брадикинина, диоксида серы и др.
Бронхиальная гиперреактивность выявляется при провокационном тесте с метахолином или гистамином (снижение ОФВ, более чем на 15%), но слабо коррелирует с клиническими проявлениями болезни, кожными пробами с аллергенами, суточной динамикой пикфлоуметрии. Кроме того, бронхиальная гиперреактивность часто встречается у людей, никогда не страдавших БА.
В норме тонус гладких мышц бронхов регулируется преимущественно парасимпатическими волокнами, входящими в состав блуждающего нерва. Применение лекарственных средств, блокирующих проведение возбуждения по парасимпатическим волокнам, приводит к расширению бронхов. Стимуляция этих волокон, напротив, вызывает бронхоспазм. Рецепторы парасимпатической нервной системы активируются гистамином, холодным воздухом, S02. Чувствительность и тонус афферентных холинергических структур повышается при поражении эпителия и выбросе медиаторов воспаления. Бронхиальная гиперреактивность может быть проявлением синдрома вегетативной дисфункции с преобладанием парасимпатотонуса.
На гладкомышечных клетках бронхов находятся а-, Р,- и р,-адренорецепторы. Преобладают p-адренорецепторы, причем Р,-адренорецепторов в 3 раза больше, чем (5,-адреноре- цепторов.
В норме симпатическая нервная система играет незначительную роль в регуляции тонуса гладких мышц бронхов. Помимо этого, гладкая мускулатура бронхов не имеет адренерги- ческой иннервации и симпатическое влияние на эти мышцы поддерживается за счет катехоламинов, циркулирующих в крови. Основной их источник – мозговое вещество надпочечников. Понятно, что снижение функции надпочечников (например, при лимфатико-гипопластическом диатезе) способствует повышению гиперреактивности.
В дополнение к парасимпатическому звену вегетативной нервной системы за повышение тонуса бронхов отвечает NANC-механизм (неадренергический, нехолинергический, называемый также пептидергическим), опосредованный передачей возбуждения по классическим автономным нервам. Ингибиторами NANC являются вазоактивный интерстициальный пептид (VIP) и оксид азота (N0). Как VIP, так и NO способны предупредить развитие бронхоспазма, индуцируемого фармакологическими препаратами. Однако VIP быстро разрушается триптазой, высвобождаемой при дегрануляции тучных клеток, a NO – свободными радикалами кислорода, выделяемыми ней- трофилами. Подавление ингибиторов NANC наблюдается при хроническом аллергическом воспалении и обусловливает усиление бронхиальной гиперреактивности.
Стимуляторами NANC являются многочисленные нейро- пептиды, например вещество Р и нейрокинин, которые вызывают сужение бронхов, отек слизистой и увеличение секреции слизи. В норме их разрушает нейтральная эндопептидаза, вырабатываемая бронхиальным эпителием. Слущивание эпителия, наблюдаемое при хроническом аллергическом воспалении, способствует развитию гиперреактивности.
Острые респираторные заболевания очень часто ассоциированы с приступами бронхиальной астмы. У 40% астматиков выявляются антигены респираторно-синцитиального вируса, парагриппа и гриппа, риновируса и аденовируса. Предполагается, что вирусы снижают чувствительность Р-адреноре- цепторов, повреждают эпителий и таким образом повышают реактивность бронхов, а также способствуют переключению иммунного ответа на ТЬ2-вариант. До 50% детей, перенесших на 1-м году жизни бронхиолит, вызванный респираторно-син- цитиальным вирусом, заболевают бронхиальной астмой в течение последующих 8 лет. Таким образом, атопия и гиперреактивность бронхов тесно переплетаются в патогенезе бронхиальной астмы, взаимно стимулируя и поддерживая друг друга (рис. 1).

Обструкция дыхательных путей – причина нарушения вентиляции, перфузии и кислотно-щелочного равновесия. Обструкция дыхательных путей – основной, наиболее характерный признак БА. Патологические изменения, приводящие к сужению просвета бронхов, затрагивают слизистую оболочку, подслизистый слой и мышечную оболочку бронхиального дерева. Патологический процесс распространяется от трахеи и крупных бронхов к терминальным бронхиолам. К нарушению бронхиальной проводимости приводит спазм гладких мышц У Чак 440 -,‹-7 бронхиальной стенки, образование слизистых пробок и воспаление слизистой бронхов.
Обструкция бронхов во время приступа бронхиальной астмы приводит к уменьшению форсированной жизненной емкости легких (ФЖЕЛ), особенно в первую секунду (ОФВ,), и увеличению остаточного объема (ОО). Обструкция бронхов во время приступа неравномерна, поэтому одни участки легких вентилируются лучше, другие – хуже. Перфузия плохо вентилируемых участков снижается. Равновесие между вентиляцией и перфузией нарушается, что приводит к снижению рО, (в артериальной крови). В легких случаях это может быть единственным изменением газового состава крови.
Уровень рСО, зависит от вентиляции альвеол. При легких и среднетяжелых приступах бронхиальной астмы возникает гипервентиляция, которая приводит к уменьшению рС02 и дыхательному алкалозу.
Тяжелые приступы бронхиальной астмы, при которых ОФВ, составляет менее 15–20% от нормального, сопровождаются снижением рН. Это обусловлено накоплением лактата и метаболическим ацидозом (BE менее -2 мэкв/л), которому сопутствует повышение рСО. – респираторный ацидоз, развивающийся вследствие гиповентиляции. Перерастяжение легких и снижение парциального давления кислорода в альвеолах вызывают сужение капилляров альвеол и повышение давления в легочной артерии.
Эпидемиология.
Бронхиальная астма – самое частое хроническое заболевание легких у детей. По результатам одного из массовых эпидемиологических исследований, проведенного по программе ISAAC (International Study of Asthma and Allergies in Childhood), в ходе которого было обследовано более 1 млн детей из 156 населенных пунктов 56 стран мира, симптомы бронхиальной астмы были выявлены с частотой от 4,3% (Китай) до 35,1% (Нормандские острова). Республика Беларусь не принимала участие в исследовании, но у наших ближайших соседей доля детей с такой симптоматикой соста-вила: в России – 9,9%, Украине – 12,9%, Польше – 7,8%. Причем в большинстве стран наблюдался рост заболеваемости. У наших соседей частота БА увеличивалась в среднем на 0,22–2,01% в год.
По данным официальной статистики, показатели заболеваемости детей данной патологией по Гродненской области на протяжении последних четырех лет практически не меняются.
Они составляют около 0,6%. Республиканские данные мало отличаются от областных. Эти цифры вероятнее всего свидетельствуют о низком уровне диагностики указанных заболеваний, недостаточном знании медицинскими работниками проявлений аллергических заболеваний.
Среди детей, больных БА, мальчиков на 30% больше, чем девочек, причем у мальчиков заболевание протекает более тяжело. В подростковом возрасте и у взрослых заболевание чаще встречается у женщин.
Бронхиальная астма больше распространена среди городского населения с низким уровнем жизни, а также среди лиц, живущих в индустриальных районах и в странах с холодным климатом.
Классификация. В МКБ-10 предлагается следующая классификация бронхиальной астмы.
J45. Астма.
J45.0. Астма с преобладанием аллергического компонента.
1. Аллергический:
• бронхит БДУ;
• ринит с астмой.
2. Атоническая астма, экзогенная аллергическая астма. Сенная лихорадка с астмой.
J45.1. Неаллергическая астма.
Идиосинкразическая астма. Эндогенная неаллергическая астма.
J45.8. Смешанная астма.
Сочетание состояний, указанных в рубриках J45.0 и J45.1.
J45.9. Астма неуточненная.
Астматический бронхит БДУ, поздно начавшаяся астма.
J46. Астматический статус (status asthmaticus).
Острая тяжелая астма.
Астма с преобладанием аллергического компонента возникает практически в 80% случаев у лиц младше 20 лет и приблизительно в 40–50% случаев у взрослых. Кожные и провокационные пробы с аллергенами высоко информативны. Неаллергическая астма обусловлена главным образом бронхиальной гиперреактивностью. Провоцируют бронхообструкцию не аллергены, а инфекция, физическое или эмоциональное перенапряжение, резкие смены температуры, влажности воздуха и т. д. Смешанная форма заболевания сочетает в себе признаки обоих указанных выше вариантов БА.
В связи с изменением аллергической номенклатуры эксперты EAACI (Европейская академия аллергологии и клинической иммунологии) предложили несколько изменить (в сторону упрощения) и классификацию БА, оставив только аллергическую (опосредованную иммунными механизмами) и неаллергическую астму, выделив в аллергической астме IgE- опосредованный и не IgE-опосредованный варианты (рис. 2).

Рис. 2. Классификация БА, предложенная EAACI (2001)
Следующий классификационный критерий – степень тяжести. Он устанавливается на основании таких показателей, как частота приступов, наличие и тяжесть ночных приступов, длительность приступов, наличие осложнений, эффективность лечения, но наиболее объективным критерием тяжести является выраженность бронхиальной обструкции.
1. 1 -я степень – интермиттирующая БА. Течение Б А у больного считается интермиттирующим, если симптомы (эпизоды кашля, свистящего дыхания или одышки) возникают реже 1 раза в неделю в течение не менее 3 месяцев, причем эти эпизоды обычно длятся от нескольких часов до нескольких дней. Симптомы ночной астмы появляются не чаще 2 раз в месяц. В межприступ- ные периоды симптомы отсутствуют, а показатели функции легких остаются полностью нормальными, т. е. до использования бронхолитика значение ОФВ, превышает 80% от должного или ПСВ превышает 80% от наилучшего индивидуального значения, а разброс показателей ПСВ не превышает 20%.
2. 2-я степень – легкая персистирующая БА. Течение БА считается легким персистирующим, если симптомы и (или) ухудшение функции легких возникают с такой частотой, что для контроля БА требуются ежедневный длительный прием базисного препарата. Легкая персистирующая БА диагностируется в том случае, если днем симптомы возникают чаще, чем 1 раз в неделю, но реже, чем 1 раз в день, а ночью – чаще 2 раз в месяц в течение более 3 последних месяцев, и некоторые из этих эпизодов нарушают сон или уровень физической активности, а также при наличии проявлений, которые требуют почти ежедневного симптоматического лечения. У больного с легкой персистирующей БА значения ПСВ до приема препарата составляют более 80% от должного или индивидуального лучшего значения, а вариабельность ПСВ находится в пределах 20–30%. Кашлевый вариант БА также следует считать легкой персистирующей формой заболевания.
3. 3-я степень – персистирующая БА средней тяжести. При среднетяжелой персистирующей БА в течение длительного времени дневные симптомы проявляются ежедневно, ночные – чаще 1 раза в неделю. Диагноз персистирующей БА средней тяжести ставится пациенту с исходным (до приема медикаментов) значением ПСВ более 60%, но менее 80% от должного или индивидуального лучшего значения и суточной вариабельностью ПСВ от 20 до 30%. Если течение БА не удается контролировать низкими дозами ингаляционных ГКС (до 500 мкг БДП или эквивалента), то такую БА также следует расценивать как персистирующую средней степени тяжести.
4. 4-я степень – тяжелая персистирующая БА. У больного с тяжелой персистирующей БА симптомы болезни очень вариабельны и присутствуют постоянно, часто возникают ночные симптомы, имеется ограничение физической активности и несмотря на прием препаратов рецидивируют тяжелые обострения. У больного с тяжелой персистирующей БА исходная ПСВ до приема препарата составляет менее 60% от должного или наилучшего индивидуального значения, а суточные колебания ПСВ превышают 30%.
Клинические варианты.
По данным иммуногистохимиче- ских исследований биоптатов слизистой оболочки бронхов, клеточный пейзаж в участках хронического воспаления при классической аллергической астме и при неаллергической астме практически одинаков, поэтому использование противовоспалительных средств является обязательным при любом варианте БА. Однако при назначении лечения необходимо учитывать наличие сопутствующих астме заболеваний и состояний, а при неаллергической БА – механизм ее развития.?
Сезонная бронхиальная астма. Если у больного появляются симптомы БА при контакте с сезонными аллергенами, то он страдает сезонной БА. Она может носить интермиттирующий характер, если в межсезонном периоде у больного нет никаких симптомов болезни и сохраняются нормальные показатели ПСВ, или может проявляться как сезонное ухудшение перси- стирующей БА. Степень тяжести варьирует у разных больных от сезона к сезону. Лечение также может варьировать, но должно проводиться в соответствии с рекомендациями по лечению персистирующей БА. В идеале лечение должно начинаться перед сезоном или при появлении первых симптомов и заканчиваться после окончания сезона, когда симптомы исчезнут.
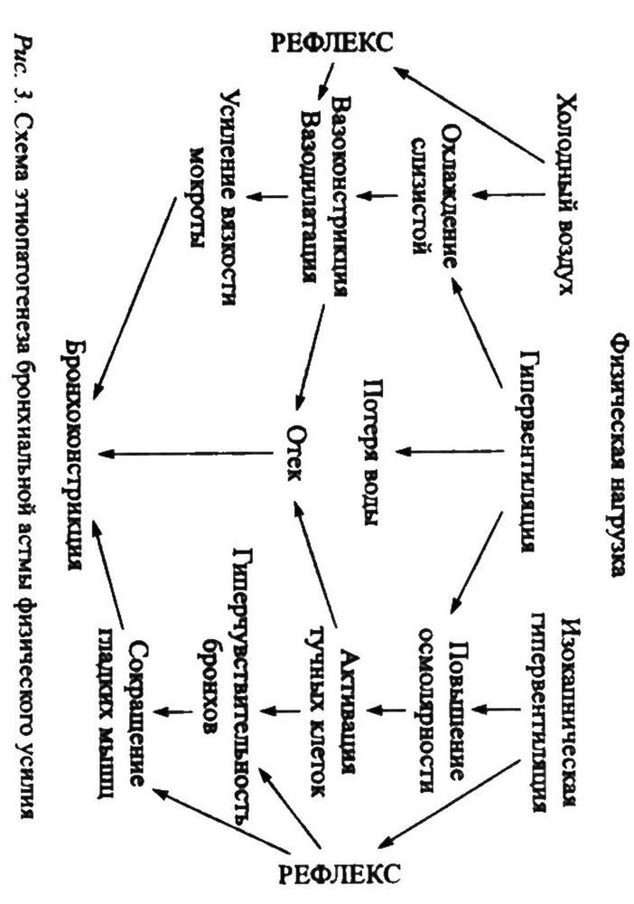
Бронхиальная астма физического усилия. Для большинства больных БА физическая нагрузка – важный фактор, провоцирующий обострения БА. У большинства больных БА 10–15-минутная физическая нагрузка вызывает бронхоспазм, на что указывает существенное снижение ОФВ,. Чем тяжелее бронхиальная астма, тем более выраженный бронхоспазм вызывает физическая нагрузка, но лишь у небольшой части больных возникновение приступа бронхиальной обструкции провоцируется не контактом с аллергеном, а только физической нагрузкой. Состояние, при котором бронхоспазм, возникший после физической нагрузки, самостоятельно разрешается спустя 30–45 мин (редко сохраняется более 1 ч), носит название БА физического усилия.
Частота и выраженность приступов БА, вызванных физической нагрузкой, зависят от характера этой нагрузки. Чаще всего бронхоспазм возникает при быстром беге, реже – при ходьбе и езде на велосипеде. Плавание обычно не вызывает бронхо- спазма. БА физического усилия может возникнуть в любых климатических условиях, но ее вероятность значительно выше при вдыхании сухого холодного воздуха.
Бронхиальная астма физического усилия – это одно из проявлений гиперреактивности дыхательных путей, а не особая форма БА. В механизме бронхиальной обструкции основную роль, вероятно, играет охлаждение и «пересушивание» слизистой оболочки дыхательных путей (рис. 3).
Следует подчеркнуть, что морфологические изменения в слизистой респираторного тракта при аллергической астме и астме физического усилия идентичны, поэтому общие принципы лечения этих заболеваний одинаковы. Бронхиальная астма физического усилия иногда служит индикатором плохого контроля БА и, как правило, адекватная противовоспалительная терапия приводит к уменьшению симптомов, возникающих при физической нагрузке.

Рис. 3
В редких случаях, когда, несмотря на проводимую в полном объеме терапию, сохраняется БА физического усилия, и когда эта форма БА является единственным проявлением болезни, наиболее эффективным способом профилактики обострения служит ингаляция (32-агониста короткого действия за 15–20 мин до физической нагрузки. Многие другие препараты (кромогли- кат натрия, недокромил, антихолинергические препараты, теофиллин, ингаляционные ГКС, антигистаминные антагонисты Н,-рецепторов, антилейкотриеновые препараты и р2-аго- нисты длительного действия) также бывают эффективны при БА физического усилия. Тренировки и поддержание комфортного температурного режима и влажности окружающей среды снижают частоту и тяжесть БА физического усилия.
Поскольку эффективность лечения БА физического усилия обычно высокая, больным БА не следует избегать физической активности. Напротив, цель лечения БА заключается в том, чтобы большинство пациентов могло безбоязненно участвовать в любом виде физической активности. Кроме того, физическая активность должна быть частью схемы лечения больных БА. Занятия физкультурой снижают уровень вентиляции, необходимый для поддержания определенного уровня активности, а поскольку тяжесть БА физического усилия зависит от вентиляции, у хорошо тренированных больных симптомы БА возникают только при более тяжелых физических нагрузках, чем во время обычных тренировок. Помимо этого, занятия физкультурой улучшают состояние сердечно-легочной системы, поэтому важно рекомендовать пациентам заниматься спортом и не избегать физических нагрузок.
Риниты и синуситы.
У некоторых пациентов с БА заболевания верхних дыхательных путей могут повлиять на функцию нижних отделов.
У одного и того же пациента часто сосуществуют БА и ал-лергический ринит. Распространенные аллергены, такие, как клещи домашней пыли, перхоть животных и реже – пыльца или аспирин и другие НПВС, могут воздействовать как на нос, так и на бронхи. У большинства пациентов с БА (75% с аллергической БА и свыше 80% с БА неаллергического генеза) имеются симптомы сезонного или круглогодичного аллергического ринита. Бронхиальная астма и ринит считаются воспалительными заболеваниями дыхательных путей, однако между двумя этими заболеваниями существуют некоторые различия относительно механизмов, клинических признаков и подхода к терапии.
При рините назальная обструкция вызвана во многом пере-полнением кровеносных сосудов, в то время как при БА обратимая обструкция дыхательных путей обусловлена, главным образом, сокращением гладкой мускулатуры. При Б А воспаление слизистой дыхательных путей сопровождается слущива- нием эпителия, утолщением ретикулярного слоя субэпителиальной базальной мембраны и гипертрофией гладкой мускулатуры дыхательных путей. При круглогодичном рините эпителий обычно не слущивается.
Лечение ринита может уменьшить симптомы БА. При обоих состояниях эффективны противовоспалительные препараты, включая ГКС, кромоны, антилейкотриеновые препараты и антихолинергические средства. Однако существуют различия в лечении двух заболеваний: некоторые препараты избирательно эффективны при рините (например, а-агонисты, Н,-антагонисты), а другие – при БА (например, р,-агонисты).
Синусит – это осложнение инфекционных заболеваний верхних отделов дыхательных путей, аллергического ринита, полипоза носа и других форм назальной обструкции. Как острый, так и хронический синусит может провоцировать приступы БА. Диагностика синусита требует проведения рентгенографии или компьютерной томографии; клинические признаки синусита часто слишком стерты, чтобы поставить диагноз. Антибиотикотерапия синуситов может на какой-то период сопровождаться снижением тяжести БА. Вероятность эффективности такой терапии будет выше, если антибиотики назначают не менее чем на 10 дней. Лечение должно также включать препараты, уменьшающие застойные явления в носовых ходах (деконгестанты или ГКС интраназально). Каким бы важным ни было такое лечение, оно остается лишь дополнением к основной противоастматической терапии.
Гастроэзофагеальный рефлюкс.
Связь усиления симптомов БА, особенно ночью, с гастроэзофагеальным рефлюксом остается предметом дискуссии, хотя среди больных БА это состояние встречается примерно в 3 раза чаще, чем в популяции. У большинства таких больных есть также грыжа пищеводного отверстия диафрагмы. Более того, использование мегилксантинов может повысить вероятность появления симптомов за счет развития гипотонии эзофагогастрального сфинктера. Диагноз легче всего ставится с помощью одновременного мониторирования рН в пищеводе и показателей функции внешнего дыхания.
Для уменьшения симптомов рефлюкса необходимо назначать консервативное лечение: частые приемы пищи маленькими порциями, отказ от приема пищи или питья между основными приемами пищи и особенно на ночь, отказ от жирной пищи, алкоголя, теофиллина и пероральных р2-агонистов, применение Н2-блокаторов или ингибиторов протонной помпы. Назначение лекарств, повышающих давление в нижних отделах пищевода, и сон с приподнятым головным концом кровати. Для больных с тяжелыми симптомами и подтвержденным эзо- фагитом, не поддающимся консервативному лечению, в резерве остаются хирургические методы лечения; однако они эффективны не у каждого больного. Перед тем как посоветовать больному БА хирургическое лечение, нужно доказать, что рефлюкс вызывает симптомы БА.
Аспириновая астма.
У 4–28% взрослых больных БА, но редко у детей обострения БА вызывают аспирин и другие НПВС. Первые симптомы появляются у большинства больных на 3-й или 4-й декаде жизни. В типичных случаях у больных отмечается вазомоторный ринит, характеризующийся периодической профузной ринореей. У больных месяцами сохраняется заложенность носа, а при физикальном обследовании часто выявляется полипоз носа. Непереносимость аспирина и БА развиваются на последующих стадиях заболевания. Сама по себе картина непереносимости очень своеобразна: в пределах 1 ч после приема аспирина возникает острый приступ БА, часто сопровождающийся ринореей, раздражением конъюнктивы с появлением скарлатиноподобной сыпи на коже головы и шеи. Эти реакции опасны, даже однократный прием аспирина или другого ингибитора циклооксигеназы может вызвать тяжелый бронхоспазм, шок, потерю сознания и остановку дыхания.
В дыхательных путях больных с аспириновой астмой обна-руживается персистирующее воспаление с выраженной эози- нофилией. Число эозинофилов у больных аспириновой астмой в 4 раза превышает таковое у лиц с БА, переносящих аспирин, и в 15 раз превышает число эозинофилов у больных без БА. У больных с аспириновой астмой в дыхательных путях сильно увеличивается экспрессия IL-5, который, как известно, стимулирует пролиферацию, активирует и подавляет апоптоз эозинофилов. У таких больных отмечается также усиление продукции лейкотриенов, обнаруживается гиперэкспрсссия лейко- триен-С4-синтетазы (ЬТС4-синтетаза) в бронхах. Этот феномен частично объясняется генетическим полиморфизмом гена ЬТС4-синтетезы, вариант промотора, создающего предрасположенность к аспиринчувствительной астме, обнаруживается у 70% больных. Однако точный механизм воздействия аспирина на циклооксигеназу и запуска бронхоконстрикции, остается неизвестным.
Частота и тяжесть нежелательных реакций зависят от анти- циклооксигеназной активности НПВС и его дозы, а также от индивидуальной чувствительности больного. При аспириновой Б А приступ могут вызвать индометацин, мефенамовая кислота, феназон, аминофеназон, пищевой краситель тартра- зин, а также некоторые продукты питания, содержащие аспириноподобные вещества. В первую очередь это малина, клубника, виноград, сливы и т. п. Обычно не противопоказаны не- ацетилированные салицилаты и парацетамол.
Лабораторных тестов для верификации диагноза аспириновой БА не существует, с достоверностью он может быть установлен лишь после пробы с аспирином. Эту пробу выполняют у больных с БА в стадии ремиссии и при показателях ОФВ, выше 70% от должных или наилучших индивидуальных значений. Пероральную пробу проводить опасно, более безопасной является ингаляционная проба с лизин-аспирином. Интрана- зальная проба менее чувствительна, но более безопасна, чем ингаляционная, поэтому ее можно использовать в качестве первоначального теста. Пробу проводят утром, в присутствии квалифицированного врача и при наличии реанимационной аппаратуры. Ее считают положительной при снижении ОФВ, или ПСВ не менее чем на 15%, с появлением симптомов бронхиальной обструкции, раздражения со стороны носа и глаз. В отсутствие этих симптомов реакция считается положительной, если ОФВ, или ПСВ снижается более чем на 20%.
Однажды развившись, непереносимость аспирина или НПВС сохраняется на всю жизнь. Больным с аспириновой астмой нельзя принимать аспирин, продукты, его содержащие, другие анальгетики, которые ингибируют циклооксигеназу, а также гидрокортизона гемисукцинат. Однако эти мероприятия не предотвращают прогрессирования воспалительного процесса Помощь при приступах БА проводят по стандартной схеме, но приступы при аспириновой БА обычно тяжелые и плохо снимаются адреномиметиками, часто обструкция исчезает только при назначении ГКС, а в качестве дополнительного средства для контроля рассматриваемого заболевания назначают антилейкотриеновые препараты.
Больным с аспириновой БА, которым НПВС необходимы для лечения других заболеваний, можно проводить десенсити- зацию. После десенситизации ежедневный прием высоких доз аспирина снижает симптомы воспалительного процесса в слизистой (особенно в полости носа).
Бронхиальная астма и анафилаксия.
Анафилаксия – состояние, потенциально угрожающее жизни, которое может имитировать или осложнять БА. Для эффективного лечения анафилаксии необходима ее ранняя диагностика. О возможности анафилаксии следует помнить в случаях, когда пациенту назначают медикаментозные препараты или вещества биологического происхождения, особенно путем инъекции. Причиной анафилаксии может быть введение аллергенов при проведении иммунотерапии, непереносимость отдельных продуктов (орехов, рыбы, моллюсков, яиц, молока), введение вакцин, в состав которых входит яичный белок, укусы насекомых, лекарственные препараты ((клактамные антибиотики, аспирин и НПВС, ингибиторы ангиотензинпревращаюшего фермента) и даже физическая нагрузка. Реакция обычно начинается постепенно, чаще сначала проявляется зудом десен и першением в горле, зудом ладоней или подошв и местной крапивницей. Позднее развивается реакция со стороны других органов, при этом часто доминируют симптомы тяжелой астмы, гипотензия и шок.
При тяжелой «лабильной» БА анафилактические реакции со стороны дыхательных путей могут быть причиной развития острого приступа БА и относительной резистентности приступа к большим дозам (3,-агонистов. Если есть вероятность того, что в генезе астматического приступа играет роль анафилаксия, то препаратом выбора для расширения бронхов является адреналин. Быстрое проведение терапии анафилаксии заключается в назначении кислорода, введении водного раствора адреналина, парентеральном введении антигистаминных препаратов, внутривенном введении ГКС и инфузионной терапии. Профилактика рецидива анафилаксии заключается в обнаружении причины и обучении больного, как избегать подобного воздействия, а также самостоятельно оказать себе неотложную помощь.
Основные положения патогенеза, клинической картины, диагностики, лечения и профилактики БА закреплены в меж-дународных и национальных соглашениях. Главным международным документом, на основе которого разработаны и скоординированы национальные программы, является GINA (Global Initiative for Asthma, редакция 2002 г.) – «Глобальная стратегия по лечению и профилактике бронхиальной астмы». Министерством здравоохранения Республики Беларусь 23.02.2006 г. утвержден «Клинический протокол диагностики и лечения бронхиальной астмы».
Диагностика.
Наиболее диагностически значимыми проявлениями БА являются обратимые приступы свистящих хрипов, мучительный кашель по ночам, свистящие хрипы или кашель, возникающие после физической нагрузки, свистящие хрипы, чувство «стеснения в груди» или кашель в результате воздействия аэроаллергенов или поллютантов, указание на то, что острый ринофарингит у пациента часто осложняется бронхитом или продолжается более 10 дней, а также положительный эффект при использовании антиастматического лечения.
Особое внимание следует уделять диагностике БА у детей с повторяющимися эпизодами кашля и у пожилых людей с про-фессиональными факторами риска, которые способны вызывать Б А.
Тяжесть БА классифицируется по наличию клинических признаков перед началом лечения и (или) по объему лекарственной терапии, необходимой для оптимального лечения.
Оценка аллергического статуса помогает определить факторы риска, что важно для составления профилактических рекомендаций и необходима для проведения иммунотерапии аллергенами.
Правильно собранный аллергологический анамнез позволяет выяснить не только характер заболевания, но и предположить его этиологию (наиболее вероятный аллерген или группу аллергенов, ответственных за развитие БА в каждом конкретном случае). При сборе аллергологического анамнеза особое внимание следует обращать:
1. на семейную предрасположенность к аллергическим за-болеваниям и аллергическим реакциям;
2. на характер работы родителей больного – производственные вредности, работа с химическими веществами, на пищевом производстве, в парфюмерной промышленности и т. д.;
3. на связь ухудшения состояния больного с употреблением определенных продуктов, приемом медикаментов, выездом в лес (поле), контактами с книгами (на открытых, не застекленных полках), животными (птицами, рыбами), воздействием тепла или холода, пребыванием в сыром помещении и т. д.;
4. сезонность обострений;
5. жилищно-бытовые условия (старые жилые помещения, «скученность» проживания, наличие в помещении ковров, мягкой мебели, книг, животных, рыб, птиц, старых постельных принадлежностей, цветов и др.);
6. улучшение состояния больного вне дома, при госпитализации или перемене места жительства;
7. наличие других аллергических симптомов (зуд век, слезотечение, чиханье, заложенность носа, высыпания на коже);
8. сопутствующие заболевания (органов пищеварения, почек, лор-органов, нервной системы);
9. наличие в анамнезе указаний на кожные аллергические проявления в первые годы жизни (упорные опрелости, гнейс, гиперемия, шелушение, экссудация, сухость кожи, экскориации) и их причины (прививки, переход на смешанное вскармливание, введение прикорма и т.д);
10. частота ОРВИ (сколько раз в год).
Оценка функции легких значительно повышает достоверность диагноза. Наиболее информативны при постановке диагноза БА (у пациентов старше 5 лет): объем форсированного выдоха в 1-ю секунду (ОФВ,), форсированная жизненная емкость легких (ФЖЕЛ), пиковая скорость выдоха (ПСВ). Бронхиальная обструкция проявляется снижением этих показателей и в первую очередь снижением ОФВ,. Увеличение ОФВ, после применения бронходилататоров более чем на 15% также свидетельствует об обратимом бронхоспазме. Для контроля за состоянием больного на амбулаторном этапе лечения достаточно измерять ПСВ.
Пикфлоуметрия, позволяющая определить пиковую скорость выдоха, является важным методом диагностики и оценки эффективности лечения.
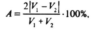
Современные пикфлоуметры недорого стоят, портативные, они являются идеальным выбором для ежедневной оценки выраженности бронхиальной обструкции пациентами в домашних условиях. Измерением ПСВ нельзя подменять определение других показателей функции легких, при определении ПСВ без ОФВ, возможна недооценка тяжести обструкции, особенно при нарастании тяжести бронхиальной обструкции и появлении «воздушных ловушек». Использование разных пик- флоуметров может приводить к разнице значений ПСВ (учитывая также, что диапазон должных значений ПСВ очень широк), поэтому предпочтительнее сравнивать результаты ПСВ у конкретного пациента с его собственными лучшими показателями с использованием личного пикфлоуметра пациента. Лучший показатель регистрируют в период ремиссии заболевания. ПСВ обычно измеряют утром (после пробуждения и до приема препаратов) и вечером (перед сном). Суточную вариабельность ПСВ определяют следующим образом:

где А – суточная вариабельность ПСВ; F, – ПСВ утром; У, – ПСВ вечером.
Чем выше вариабельность ПСВ, тем хуже контролируется астма. Определяют также отношение разности ПСВ за сутки к усредненной ПСВ за 1–2 недели. Другим способом определения вариабельности ПСВ является определение минимальной ПСВ за 1 неделю в процентах от самого лучшего в этот же период показателя. Этот способ, возможно, является лучшим для оценки лабильности просвета бронхов в клинической практике, поскольку полученный показатель проще рассчитать, и он лучше других параметров коррелирует с бронхиальной гиперреактивностью, и требует измерение ПСВ только 1 раз в день. Определение ПСВ и различной ее вариабельности используют для оценки проводимой терапии, выявления провоцирующих факторов, прогноза обострений.
При лабораторном обследовании в крови может определяться умеренная эозинофилия, изменения других показателей, как в общем, так и в биохимическом анализе, не специфичные для БА.
Важным для дифференциальной диагностики является ис-следование бронхиального секрета (бронхоальвеолярной ла- важной жидкости). Чем выше роль аллергического компонента, тем выше уровень эозинофилов в секрете. Для правильной трактовки результатов рекомендуется сравнивать лейкоцитарную формулу бронхиального секрета с лейкоцитарной формулой крови (их образцы должны быть получены с минимальным временным разрывом). Если процент эозинофилов в секрете выше, чем в крови, – это с большой вероятностью свидетельствует о хроническом аллергическом процессе, если повы-шены (по сравнению с показателями крови) нейтрофилы – это является признаком инфекционного воспаления.
При аллергической БА общий уровень IgE в сыворотке обычно повышен. Это особенно характерно для детей, у которых БА сочетается с атопическим дерматитом или аллергическими заболеваниями верхних дыхательных путей.
Для уточнения этиологических факторов и определения тактики лечения аллергической БА проводят кожные пробы методом скарификации или prick-теста (микроукол глубиной в пределах эпидермиса). Альтернативным способом выявления причинно-значимого аллергена является определение уровня специфических IgE в сыворотке крови, например с помощью радиоаллергосорбентного теста (PACT).
Определение уровня специфических IgE имеет следующие преимущества по сравнению с кожными пробами:
1. исследование безопасно для больного;
2. может выполняться в период обострения заболевания;
3. результаты исследования не зависят от кожной реактивности и стабильности аллергенов.
К недостаткам метода исследования относятся:
1. ограниченный набор аллергенов, используемых для выявления антител;
2. более низкая чувствительность, чем у внутрикожных проб;
3. большие затраты времени;
4. высокая стоимость.
Определение уровня специфических IgE показано при сочетании БА с диффузным атоническим дерматитом, пониженной или повышенной кожной реактивностью, анафилаксией в анамнезе, приеме Н,-блокаторов, невозможности прекращения медикаментозной терапии заболевания.
Для выявления гиперреактивности бронхов обычно используют провокационные пробы. Ингаляция М-холино- стимулятора метахолина вызывает бронхоспазм у большей части больных БА и у 10% здоровых лиц. У последних он может быть обусловлен недавно перенесенной инфекцией верхних дыхательных путей (в течение последних 6 недель), недавней вакцинацией против гриппа, контактом с веществами, загрязняющими воздух. Другие провокационные пробы включают физическую нагрузку (6–10 мин велоэргометрии или бега на тредми- ле с нагрузкой 1,5 Вт/кг), ингаляцию сухого холодного воздуха, ингаляцию гипотонического раствора хлорида натрия.
Тесты с ингаляцией аллергенами у детей проводятся очень редко, если на основании анамнеза не удается выявить связь между приступами астмы и воздействием аллергенов, выявляемых с помощью кожных проб или радиоаллергосорбентного теста.
Исследование газов артериальной крови показано при выраженной одышке, снижении эффективности бронходилатато- ров, значительных тахипноэ и тахикардии. При значительном снижении рО^ (менее 60 мм рт. ст.) или повышении рСО, показана ингаляция кислорода.
Осложнения.
Пневмония обычно развивается вторично, после длительных или частых приступов БА, когда в бронхах скапливается большое количество слизи. В возрасте до 5 лет чаще возникают вирусные, 5–30 лет – микоплазменные, после 30 лет – пневмококковые и другие бактериальные пневмонии.
Ателектазы могут возникнуть во время как обострения, так и ремиссии. Обычно их появление связано с закупоркой бронхов слизистыми пробками. Чаще всего наблюдаются ателектазы средней доли правого легкого. Ателектазы характерны для детей младшего возраста, часто рецидивируют, при этом обычно поражаются одни и те же участки легкого.
Пневмоторакс, пневмомедиастинум и подкожная эмфизема – редкие осложнения БА, могут возникнуть при сильном кашле и во время ИВЛ.
Бронхоэктазы – редкое осложнение БА. Обычно они возникают при сочетании бронхиальной астмы с хроническим бронхитом, длительным ателектазом или аллергическим бронхолегочным аспергиллезом.
Сердечно-сосудистые осложнения при БА чаще всего про-являются аритмиями – от редких желудочковых экстрасистол до фибрилляции желудочков. Тяжесть аритмий возрастает при гипоксемии и злоупотреблении р-адреностимуляторами.
Во время приступа БА может возникнуть перегрузка правых отделов сердца. Правожелудочковая недостаточность развивается очень редко – только в случае тяжелой длительной гипоксемии и перегрузки объемом.
Лечение.
При лечении больных БА преследуются следующие цели:
1. достижение и поддержание контроля над симптомами болезни;
2. предотвращение развития необратимой бронхиальной обструкции;
3. предотвращение смертности, связанной с БА. Контроль БА может быть достигнут у большинства пациентов и определяется как:
4. минимальная выраженность (в идеале отсутствие) хронических симптомов воспалительного процесса в бронхах (свистящие хрипы, чувство «стеснения в груди», кашель, в том числе по ночам);
5. эпизодические (дневные – не чаще 2 раз, ночные – не чаще 1 раза в месяц), легкие, хорошо купируемые приступы бронхиальной обструкции;
6. отсутствие необходимости в оказании скорой и неотложной помощи;
7. минимальная потребность (в идеале отсутствие потребности) в применении р,-агониста;
8. отсутствие ограничений активности, в том числе физической;
9. нормальные (или близкие к нормальным) показатели ПСВ, суточные колебания ПСВ менее 20%;
10. минимальная выраженность (или отсутствие) нежелательных эффектов от лекарственных препаратов.
Программа ведения больных включает:
1. обучение больных;
2. устранение воздействия причинных факторов;
3. разработка индивидуальных планов купирования обострений;
4. разработка индивидуальных планов медикаментозной терапии для длительного ведения пациентов вне обострений;
5. мониторирование тяжести БА путем записи симптомов, и с помощью инструментального исследования функции легких (пикфлуометрия и спирография). Регулярное медицинское наблюдение.
Обучение пациента подразумевает установление партнерства между ним и медицинским работником для постоянного обновления и проверки знаний. Цель – научить пациента самостоятельно контролировать свое состояние под постоянным наблюдением медицинского работника.
Хорошая образовательная подготовка может дать возможность больным нормально учиться и работать, а также снизить затраты на лечение (особенно если удается уменьшить число госпитализаций), потребность в медикаментах, частоту и тяжесть обострений и смертность.
Основной формой очного обучения в Республике Беларусь является школа астматиков. Пациенту необходимо довести информацию:
1. о заболевании, подчеркивая хронический характер БА, что определяет необходимость длительного (постоянного) лечения;
2. разнице между базисными противовоспалительными препаратами и средствами для купирования приступов;
3. использовании ингаляционных устройств;
4. методах профилактики;
5. способах мониторирования БА;
6. признаках, предполагающих ухудшение течения БА, и действиях, которые необходимо предпринять;
7. о том, где и как получить медицинскую помощь.
Пациента необходимо обеспечить:
1. адекватным планом самостоятельного ведения заболевания;
2. регулярным руководством, повторными осмотрами, поощрением и поддержкой.
Факторы, способные быть причиной невыполнения рекомендаций:
1. неумение пользоваться ингаляторами;
2. неудобный режим приема (например, 4 раза в день или необходимость приема нескольких лекарств);
3. побочные эффекты или страх их возникновения;
4. высокая стоимость лекарственных препаратов;
5. неприязнь к лекарственным препаратам;
6. недовольство врачом (неудовлетворенность качеством обследования обучения или последующего наблюдения);
7. раздражение по поводу собственного состояния или лечения;
8. недооценка тяжести заболевания, самоуспокоение или забывчивость;
9. нежелание казаться больным;
10. культурные и религиозные аспекты.
Элиминация аллергена – чрезвычайно важный компонент лечения БА. Уменьшение воздействия ключевых аллергенов окружающей среды может снизить тяжесть болезни, длительность госпитализации и потребность в фармакологических препаратах.
При аллергии к пыльце рекомендуется использовать кондиционеры воздуха. Приступ БА может вызывать сухой воздух. Для поддержания оптимальной влажности воздуха (около 60%) следует использовать комнатные или центральные увлажнители. Электронные фильтры (комнатные или центральные) удаляют более 90% взвешенных в воздухе частиц, однако они недостаточно эффективны для удаления микроклещей.
Следует использовать гипоаллергенные постельные при-надлежности и покрытия для мягкой мебели, убрать ковры, тщательно и часто делать уборки и еженедельно менять постельное белье. Ограничения в диете должны зависеть от индивидуальной переносимости продуктов. Полностью исключают только те виды пищи, прием которых провоцирует возникновение бронхиальной обструкции.
Лекарственные препараты, используемые для лечения БА, подразделяют на базисные и симптоматические.
Базисные препараты принимают ежедневно, длительно с целью достижения и сохранения контроля над Б А; в их состав входят ингаляционные ГКС, системные ГКС, теофил- лин замедленного высвобождения, ингаляционные р2-агонисты длительного действия, антилейкотриеновые препараты, а также иммуномодуляторы.
Симптоматические препараты, или препараты неотложной помощи, используют для устранения бронхоспазма и облегчения сопутствующих симптомов (свистящих хрипов, чувства стеснения в грудной клетке и кашля). Они включают (32-агонисты, метилксантины короткого действия и антихоли- нергические препараты.
Препараты для лечения БА могут вводиться ингаляционно, перорально и парентерально (подкожно, внутримышечно и внутривенно). Основное преимущество ингаляционного способа введения – более эффективное создание высоких концентраций препарата в дыхательных путях и устранение или сведение к минимуму нежелательных системных эффектов. Некоторые лекарства, эффективные при БА, могут применяться только путем ингаляции (например, некоторые холиноблокато- ры и кромоны). Действие бронхолитиков, введенных ингаляционным путем, проявляется быстрее, чем после перорального приема.
Существуют следующие формы выпуска аэрозольных препаратов: дозированные аэрозольные ингаляторы (ДАН), активируемые дыханием ДАИ, дозированные «порошковые» ингаляторы (ДЛИ) и «влажные» аэрозоли, подаваемые через небулайзер.
У детей более эффективно применение дозированного аэрозоля со спейсером. Больным, которым трудно пользоваться ДАИ, можно предложить применять дозированные аэрозоли, активируемые при дыхании.
В настоящее время ГКС являются самыми эффективными противовоспалительными препаратами для лечения БА. Установлено, что при БА прием ингаляционных ГКС в течение 1 месяца или более достоверно уменьшает воспалительные изменения в дыхательных путях. Исследования показали их эффективность в плане улучшения функции внешнего дыхания, снижения гиперреактивности дыхательных путей, уменьшения выраженности симптомов, снижения частоты и тяжести обострений и улучшения качества жизни. Ингаляционные ГКС являются препаратом выбора для больных с персистирующей Б А любой степени тяжести.
ГКС различаются по силе действия и биодоступности после ингаляционного введения. В табл. 33 перечислены примерные эквивалентные дозы различных ингаляционных ГКС.
Таблица 33. Расчетные эквивалентные дозы (мкг) ингаляционных ГКС у детей
Препарат Низкая доза Средняя доза Высокая доза БДП* 100–400 400–800 ›800 Будесонид 100–200 200–400 ›400 Флунизолид 500–750 1000–1250 ›1250 Флютиказон 100–200 200–500 ›500 Триамцинолона ацетонид 400–800 800–1200 ›1200*БДП – беклометазона дипропионат.
Большинству больных для контроля БА достаточно 500 мкг беклометазона дипропионата (БДП) в сутки или эквивалента этой дозы. Следует помнить, что кривая «доза – эффективность» для ГКС относительно плоская. Поэтому перевод на более высокие дозы ингаляционных ГКС почти не улучшает функцию внешнего дыхания, но увеличивает риск побочных эффектов. Присоединение препарата из другого класса базисных средств более предпочтителен, чем увеличение дозы ингаляционных ГКС.
Для определения адекватного режима дозирования врач должен мониторировать реакцию больного по нескольким клиническим параметрам и соответствующим образом корректировать дозу. Принцип поэтапного подхода к терапии подразумевает, что после достижения контроля над БА дозу препаратов следует снижать до минимально необходимой для поддержания контроля.
Нежелательные местные эффекты при ингаляционном применении ГКС включают кандидоз полости рта и ротоглотки, дисфонию, иногда кашель. Полоскание рта водой после ингаляции (с последующим оплевыванием) и использование спей- сера может предотвратить эти эффекты.
Все существующие в настоящее время ингаляционные ГКС всасываются в легких, но некоторая их часть неизбежно попадает в системный кровоток. Риск нежелательных системных эффектов ингаляционных ГКС зависит от дозы и активности ГКС, а также его биодоступности, метаболизма при первом прохождении через печень и периода полувыведения, поэтому системные эффекты будут неодинаковы у разных ингаляционных ГКС. Так, будесонид и флютиказон обладают меньшим системным действием, чем беклометазон и триамцинолон. Риск системных эффектов зависит также от типа ингалятора: применение спейсеров уменьшает системную биодоступность ГКС.
При длительной терапии высокими дозами ингаляционных ГКС могут развиться следующие системные эффекты: истончение кожи, повышенная проницаемость капилляров, подавление функции коры надпочечников, остеопороз, катаракта и глаукома, но практика показывает, что при назначении взрослым ингаляционных ГКС в дозах, эквивалентных 500 мкг БДП или меньших, нежелательные системные эффекты не являются реальной проблемой. Риск для жизни при неконтролируемой персистирующей БА по всей вероятности гораздо выше, чем возможный риск нежелательных системных эффектов от приема ингаляционных ГКС.
Длительная терапия системными ГКС (ежедневно или через день) обычно используется для контроля тяжелой пер- систирующей БА, однако ее применение ограничено риском существенных нежелательных эффектов. Следует отметить, что терапевтический индекс (соотношение искомый эффект/ нежелательный эффект) при длительном лечении БА ингаляционными ГКС всегда выше, чем при длительной перораль- ной или парентеральной терапии ГКС. Ингаляционные ГКС более эффективны, чем системные ГКС, принимаемые через день.
При длительной терапии ГКС следует помнить, что нежелательные системные эффекты при пероральном приеме препарата бывают реже, чем при парентеральном введении. Лучше назначать такие пероральные ГКС, как преднизон, преднизолон или метилпреднизолон, поскольку они обладают минимальным минералокортикоидным эффектом и относительно коротким периодом полувыведения. В большинстве случаев при длительной терапии пероральные ГКС можно назначать 1 раз в сугки, утром, ежедневно или через день. Только при очень тяжелой БА может потребоваться ежедневный пероральный при-ем высоких доз ГКС 2 раза в сутки.
Нежелательные системные эффекты при длительной пер- оральной или парентеральной терапии ГКС включают остео- пороз, артериальную гипертензию, диабет, подавление функциональной активности гипоталамо-гипофизарно-надпочеч- никовой системы, катаракту, глаукому, ожирение, истончение кожи с образованием стрий и повышенной капиллярной проницаемостью, мышечную слабость. Больные БА, длительно получающие системные ГКС, должны получать превентивную терапию остеопороза.
Рекомендуется соблюдать осторожность и тщательно кон-тролировать состояние и в тех случаях, когда системные ГКС назначаются больным БА, которые страдают также туберкулезом, паразитарными инфекциями, остеопорозом, глаукомой, диабетом, тяжелой депрессией или язвенной болезнью. Если у больного, длительно принимающего пероральные ГКС для лечения БА, имеются остаточные рентгенологические признаки неактивного туберкулеза, то ему нужно назначить химиопро- филактику и зо ни аз и дам.
Описаны случаи герпетических инфекций с летальным исходом во время приема системных ГКС среди пациентов, в прошлом болевших герпесом (даже в легкой форме). Если пациент контактировал с больным ветряной оспой, то необходимо подумать об отмене системных ГКС, назначение противо- герпетического иммуноглобулина, а если у больного развиваются характерные для ветряной оспы высыпания, то, вероятно, и о терапии ацикловиром. Пероральные ГКС также повышают восприимчивость больных к инфицированию опоясывающим лишаем и при появлении признаков этой инфекции надо предпринимать те же мероприятия, что и при генерализованной ветряной оспе.
Из препаратов группы метилксантинов для лечения БА рекомендуется использовать теофиллин замедленного высвобождения и аминофиллин. Теофиллин – бронхолитик, обладающий также противовоспалительным эффектом. Бронхорасши- ряющее действие теофиллина может быть обусловлено подавлением активности фосфодиэстеразы и наблюдается при высоких концентрациях препарата в крови (более 10 мкг/мл), в то время как его противовоспалительный эффект реализуется через неизвестный механизм и возникает при меньших концентрациях (5–10 мкг/мл).
Длительный прием теофиллина замедленного высвобождения эффективно контролирует симптомы БА и улучшает функцию внешнего дыхания. Он обладает большой продолжительностью действия, поэтому его целесообразно применять для контроля ночных симптомов, которые сохраняются, несмотря на лечение другими препаратами. Теофиллин применяют также в качестве дополнительного бронхолитика у больных с тяжелой БА. При этом он, как правило, менее эффективен, чем ингаляционные р2-агонисты длительного действия, однако представляет собой более дешевую альтернативу.
В высоких дозах (10 мг/кг массы тела в сутки или более) теофиллин может вызвать нежелательные эффекты. Самыми частыми и рано возникающими нежелательными эффектами являются симптомы со стороны ЖКТ – тошнота и рвота Тео- филлиновая интоксикация может проявляться судорогами и даже привести к летальному исходу, причем без предшествующих признаков гиперстимуляции ЦНС. Нежелательные реакции включают тахикардию, аритмии, иногда перевозбуждение дыхательного центра.
Как правило, при концентрациях препарата в сыворотке до 15 мкг/мл серьезные токсические эффекты не возникают. Индивидуальная потребность больных в препарате может варьировать, но общая тактика при длительной терапии теофиллином заключается в поддержании сывороточной концентрации препарата в пределах 5–15 мкг/мл (28–85 мкМ/мл). В начале лечения большими дозами теофиллина (10 мг/кг массы тела в сутки или более), а также в процессе лечения рекомендуется регулярно мониторировать сывороточные концентрации теофиллина. При приеме меньших доз препарата мониторинг рекомендуется проводить, если у больного появляются побочные реакции или возникают состояния, изменяющие метаболизм теофиллина (лихорадка, беременность, болезни печени, застойная сердечная недостаточность), а также при приеме таких лекарств, как циметидин, хинолоны и макролиды.
Препараты из группы $,-агонистов бывают короткого и длительного действия. Первые имеют продолжительность действия от 4 до 6 ч, вторые обладают бронхорасширяющей активностью, которая продолжается не менее 12 ч.
Ингаляционные бета2-агонисты длительного действия расслабляют гладкую мускулатуру бронхов, усиливают мукоцилиар- ный клиренс, уменьшают сосудистую проницаемость и могут подавлять высвобождение медиаторов из тучных клеток и ба- зофилов. В табл. 34 сравниваются начало и продолжительность действия различных ингаляционных р,-агонистов.
Исследования биоптатов показывают, что при продолжительном лечении ингаляционными бета2-агонистами длительного действия признаки хронического воспаления в дыхательных путях у больных БА уменьшаются. Лечение ингаляционными бета2-агонистами длительного действия по бронхорасширяющему эффекту сопоставимо с пероральной терапией или превосходит ее.
Назначают ингаляционные бета2-агонисты длительного действия, когда стандартные начальные дозы ингаляционных ГКС не позволяют достичь контроля БА, это дает лучший эффект, чем просто увеличение дозы ингаляционных ГКС в 2 раза. Прием бета2-агонистов всегда должен сочетаться с приемом ингаляционных ГКС. Для этого более удобно использовать ингаляторы с фиксированными комбинациями препаратов (флютиказона пропионат и сальметерол, будесонид и формотерол).
Таблица 34. Начало и продолжительность действия ингаляционных бета2-aгонистов
Начало действия Продолжительность действия короткая длительная Быстрое Фенотерол Формотерол Пирбутерол Прокатерол Сальбутамол (альбутерол) Тербуталин Медленное СальметеролИнгаляционные бета2-агонисты длительного действия можно применять также для профилактики бронхоспазма, спровоцированного физической нагрузкой. Продолжительность расширения бронхов и защиты от действия факторов, вызывающих бронхоспазм, при применении сальметерола и формотерола одинакова, однако между ними существуют фармакологические различия. Формотерол имеет более быстрое начало действия, чем сальметерол, что делает его подходящим как для купирования симптомов, так и для их профилактики.
При ингаляционном введении р.,-агонисты длительного действия вызывают меньше нежелательных системных эффектов, чем при пероральном приеме.
Пероральные бета2-агонисты длительного действия (‹сальбутамол или тербуталин длительного действия, а также бомбутерт – пролекарство, которое в организме превращается в тербуталин) могут быть полезными для контроля ночных симптомов БА. Их можно использовать в дополнение к ингаляционным ГКС, если стандартные дозы последних не обеспечивают достаточного контроля ночных симптомов. Бамбутерол столь же эффективен, как и сальметерол в лечении БА у больных, плохо отвечающих на монотерапию низкими дозами ингаляционных ГКС, хотя чаще вызывает нежелательные эффекты.
Возможные нежелательные эффекты включают стимуляцию тахикардии, повышение АД, тревогу, тремор скелетной мускулатуры, гипокалиемию и могут потенцироваться приемом теофиллина.
К антилейкотриеновым препаратам относятся антагонисты рецепторов к цистеинил-лейкотриену (цис-ЛТ1) (монтелукаст, пранлукаст, зафирлукаст) и ингибитор 5-ли- пооксигеназы (зилеутон).
Ингибиторы 5-липооксигеназы подавляют синтез всех лейкотриенов. Антагонисты рецепторов лейкотриена блокируют цис-JITl-рецепторы гладкой мускулатуры бронхов и других клеток и тем самым угнетают эффекты лейкотриенов, которые высвобождаются из тучных клеток. Эти механизмы уменьшают бронхоконстрикцию, индуцированную аллергенами, физической нагрузкой и диоксидом серы. Кроме того, есть данные о некотором противовоспалительном действии этих препаратов.
Клинические исследования показали, что антилейкотрие- новые средства обладают слабым и нестойким бронхорасши- ряющим эффектом, уменьшают выраженность симптомов, улучшают функцию внешнего дыхания и уменьшают число обострений БА. Их эффективность ниже, чем у ингаляционных ГКС. Использование антилейкотриеновых препаратов в качестве дополнения к лечению позволяет снизить дозы, но не заменить ингаляционные ГКС у больных с умеренной и тяжелой БА. В качестве дополнительного компонента терапии эти средства менее эффективны, чем ингаляционные р.,-агонисты длительного действия. Наиболее хороший эффект антилейко- триеновые средства дают при аспириновой астме.
Антилейкотриеновые препараты обычно хорошо переносятся. Имеется только несколько сообщений о развитии синдрома Churg-Strauss на фоне лечения данными препаратами и о гепатотоксичности зилеутона.
Для снижения потребности в пероральных ГКС в случае их плохой переносимости применяют иммуномодуляторы (тролеандамицин, метотрексат, циклоспорин, препараты золота) и некоторые макролиды. Эти лекарства следует назначать только отдельным пациентам под наблюдением пульмонолога, поскольку их возможный эффект по снижению дозы стероидов может не оправдать риска нежелательных действий. Показано, что небольшое преимущество от назначения мето- трексата, сопровождается высокой частотой побочных реакций. Некоторые макролиды, принимаемые одновременно с ме- тилпреднизолоном, тормозят метаболизм последнего, это дает возможность снижения дозы стероидов.
Ингаляционные бета2-агонисты быстрого действия (симпатомиметики) оказывают бронхорасширяющий эффект и обеспечивают быстрое купирование симптомов БА. К ним относятся сальбутамол (альбутерол), тербуталин, фенотерол, репротерол и пирбутерол. Эффект от лечения ингаляционными бета2-агонистами быстрого действия сопоставим и даже превосходит по бронхорасширяющей эффективности пероральную терапию. Ингаляционные бета2-агонисты быстрого действия являются препаратами выбора для лечения острых приступов БА и профилактики БА, провоцируемой физическими нагрузками. Ингаляционные бета-агонисты быстрого действия применяют для купирования эпизодического бронхо- спазма. Рекомендуется использовать ингаляционные р,-аго- нисты быстрого действия «по потребности», только для контроля симптомов. Частое или регулярное применение ингаляционных бета2-агонистов быстрого действия не позволяет адекватно контролировать симптомы БА, показатели спирометрии или бронхиальную гиперреактивность и может привести к увеличению тяжести БА.
Потребность в ежедневном применении ингаляционных бета2- агонистов быстрого действия является тревожным симптомом, свидетельствующим об ухудшении течения БА и о необходимости назначить или усилить постоянную противовоспалительную терапию. Отсутствие быстрого и стойкого ответа на применение Р,-агониста при обострении БА также требует повышенного внимания и может указывать на необходимость короткого курса пероральных ГКС.
Пероральные бета2-агонисты короткого действия назначают больным, которые не могут пользоваться ингаляционными препаратами.
Лечение ингаляционными бета2-агонистами быстрого действия вызывает меньше нежелательных системных эффектов (таких, как тахикардия, аритмии, тремор скелетных мышц и гипокалиемия), чем пероральная терапия.
Метилксантины короткого действия (теофиллин короткого действия) можно применять для купирования симптомов, хотя по сравнению с бета2-агонистами быстрого действия их действие начинается существенно позже. Теофиллин короткого действия может и не давать никакого дополнительного бронхорасширяющего эффекта, но он способен улучшать функцию дыхательного центра или дыхательной мускулатуры и удлинять или делать более стабильным ответ на бета2-агонист быстрого действия.
При снятии приступа бронхиальной обструкции метилксантины короткого действия сначала назначают в насыщающей дозе, а затем проводят длительную инфузию в периферическую вену. Концентрацию теофиллина в сыворотке следует определять каждые 12–24 ч.
Теофиллин может вызывать существенные нежелательные эффекты, хотя их, как правило, можно избежать при правильном дозировании и наблюдении. Если нет возможности определить концентрацию препарата в сыворотке, то теофиллин короткого действия не следует назначать больным, постоянно принимающим теофиллин замедленного высвобождения.
Ингаляционные антихолинергические препараты (ипратропиума бромид, окситропиума бромид) – это бронхо- литики, которые блокируют эффект ацетилхолина, высвобождающегося из холинергических нервных окончаний в дыхательных путях. После ингаляции эти препараты вызывают расширение бронхов путем снижения собственного холинергиче- ского тонуса ветвей блуждающего нерва в дыхательных путях. Они также блокируют рефлекторную бронхоконстрикцию, вызванную вдыханием раздражающих веществ. Ингаляционные антихолинергические препараты менее мощные бронхо- литики, чем ингаляционные Р2-агонисты, и, как правило, мед-леннее начинают действовать (30–60 мин до достижения максимального эффекта). Считается, что ипратропиума бромид усиливает действие Р2-агониста быстрого действия при одновременном введении с помощью небулайзера при обострении БА. Ипратропиум является альтернативным бронхолитиком для больных, у которых при лечении р,-агонистами быстрого действия возникают такие нежелательные явления, как тахикардия, аритмия и тремор.
Ингаляция ипратропиума или окситропиума может вызывать сухость и горький привкус во рту.
Иммунотерапия аллергенами (ИТА) с использованием экстрактов аллергенов применяется во многих странах для лечения аллергических заболеваний. Наибольший эффект ИТА отмечался при аллергическом рините. Данные об эффективности ИТА у больных БА противоречивы, однако Кокра- новский обзор, в котором рассматривались 54 рандомизированных контролируемых исследования ИТА, подтвердил эффективность этого вида лечения. Оно способствовало снижению выраженности симптомов и потребности в лекарственных препаратах, а также улучшению специфической и неспецифической гиперреактивности дыхательных путей. Тем не менее, учитывая относительно умеренную эффективность ИТА при БА, особенно по сравнению с ингаляционными ГКС, необходимо сопоставлять возможные преимущества этого вида лечения с риском нежелательных явлений и неудобством проведения длительного курса терапии. С учетом имеющейся в настоящее время информации, ИТА рекомендуется назначать только после того, как были предприняты все меры для устранения провоцирующих факторов, а фармакотерапия, включая ингаляционные ГКС, не позволила достичь контроля БА.
Антигистаминные препараты (Н1-блокаторы) при приступах бронхиальной астмы малоэффективны. Их применение оправдано при сочетании бронхиальной астмы с аллергическими заболеваниями верхних дыхательных путей, но при этом обязательно проводится также лечение бронходила- таторами. Чаще из этой группы используются препараты 2-го поколения (акривастин, ацеластин, цетиризин, эбастин, фексофенадин, кетотифен, лоратадин, мизоластин), в последние годы накоплен положительный опыт по применению телфаста – антигистаминового препарата 3-го поколения.
Лечение гистаглобулином в настоящее время используется достаточно редко, показания к его назначению сильно сужены в связи с тем, что гистаглобулин является препаратом крови. Оказывает положительный эффект у некоторых больных с бронхиальной астмой. Проводится в период ремиссии. Эффект, вероятно, связан со стимуляцией гистаминпектической ферментной системы.
Нетрадиционные методы лечения пока недостаточно изучены, их эффективность большей частью не доказана, хотя альтернативные и народные методы лечения у некоторых больных могут быть весьма популярны. Применение нетрадиционных методов лечения широко распространено и сопровождается значительными затратами со стороны отдельных больных. В некоторых странах народные методы являются основными; во многих странах к ним возник интерес в последнее время.
Акупунктура.
Применение акупунктуры началось более 2000 лет тому назад, и примерно в то же время появилось подробное описание методики. Народная китайская медицина всегда основана на целостном (холистическом, «комплексном») подходе: нарушенное болезнью равновесие в организме восстанавливают диетой, изменением образа жизни, иглоукалыванием и траволе- чением. На Западе и в Китае акупунктура редко применяется для лечения БА. По данным литературы, акупунктура не приводит к достоверному улучшению течения БА.
Гомеопатия.
Доказательств эффективности гомеопатии при БА не существует. Тем не менее, гомеопатия широко используется и в некоторых странах является единственным видом нетрадиционной медицины, входящей в состав государственной медицины.
Траволечение.
Многие современные лекарственные препараты берут свое начало в народной медицине, в том числе Р-,- агонисты, антихолинергические препараты, метилксантины и кромогликат натрия – последний был создан из аналогов природного кромона – келлина, входящего в состав растения Amni visnaga, произрастающего в Западной Азии.
В различных странах многие травы применяются для лечения БА. Однако до настоящего времени никаких сообщений о клинических исследованиях лекарственных трав, использующихся в народной медицине, не публиковалось.
Спелеотерапия.
Лечение БА с помощью периодического пребывания под землей, в том числе в соляных копях, популярно в Восточной Европе. Однако контролируемых исследований этого вида лечения мало, и никаких выводов о его эффективности до проведения адекватно контролируемых исследований делать нельзя.
Метод Бутейко – техника дыхания, заключающаяся в серии упражнений, при которых пациенты уменьшают глубину и частоту дыхания. Она используется в России, Австралии, Новой Зеландии и Великобритании. Методика основана на теоретическом предположении, что задержка дыхания увеличивает концентрацию СО2 в конце выдоха, что ведет к расширению бронхов и даже излечению заболевания. В рандомизированном контролируемом исследовании было показано, что у больных БА, дышавших по Бутейко, уменьшалась альвеолярная вентиляция (что было особенно выражено у пациентов с тенденцией к гипервентиляции) и потребность в (3,-агонистах. Была выявлена тенденция к уменьшению потребности в ГКС, однако объективных изменений просвета дыхательных путей не произошло. Таким образом, применение методики Бутейко улучшает состояние больных, у которых имеется тенденция к гипервентиляции и избыточному применению Р2-агонистов.
Прочие методы.
Данных об эффективности гипноза и внушения, натуропатии, поведенческой терапии и биологической обратной связи при лечении БА либо мало, либо они противоречивы. Ясно, что необходимо проведение более тщательных исследований. Строго рекомендуется продолжать обычную терапию, даже если предпринимаются попытки лечения этими или другими методами нетрадиционной медицины.
Ступенчатый подход.
Важнейшим компонентом любого плана лечения является мониторирование эффективности лечения и адаптация его к степени тяжести БА. Лечение следует начинать в соответствии с тяжестью БА и при необходимости постепенно усиливать его. Как только удается удержать контроль БА в течение 3 месяцев, можно обсуждать вопрос об уменьшении терапии на ступень вниз. Это нужно для того, чтобы установить минимальную дозу препаратов, требующуюся для контроля БА.
Ступенчатый подход к терапии Б А представлен в табл. 35.
При ступенчатом подходе к терапии переход на более высокую ступень показан в том случае, если контроль не удается достичь или он теряется на фоне проводимой терапии. Частое (более 4 раз в сутки) использование бронхолитиков короткого действия, а также появление симптомов в ночные и ранние утренние часы могут указывать на неадекватный контроль заболевания. Измерение ПСВ и ее суточных колебаний помогает провести первоначальную оценку степени тяжести БА, мони- торировать начальные этапы лечения и оценить изменения степени тяжести Б А.
Конкретные планы лечения должны составляться врачами в зависимости от доступности противоастматических препаратов и индивидуальных особенностей больного.
Ступень I. У больных с интермиттирующей формой Б А в отсутствие контакта с аллергеном симптомы болезни полностью отсутствуют, а показатели функции легких находятся в пределах нормы.
Низкая частота появления симптомов и тот факт, что вне обострений у больного отмечаются абсолютно нормальные показатели функции легких, являются основанием для того, чтобы не рекомендовать при этой форме БА базисную терапию. Для большинства больных с легкой интермиттирующей БА рекомендуется применение ингаляционных бета2-агонистов быстрого действия по потребности. Пациентов с интермиттирующей БА и тяжелыми обострениями нужно лечить как больных с персистирующей БА средней степени тяжести.
Альтернативой ингаляционным бета2-агонистам короткого действия могут быть ингаляционные антихолинергические препараты, пероральные бета2-агонисты короткого действия или теофиллин короткого действия, хотя эти препараты начинают действовать позднее и имеют более высокий риск развития не-желательных эффектов. Если необходимость в приеме препа-ратов появляется чаще 1 раза в неделю на протяжении более 3 месяцев, значит БА следует расценивать как легкую перси- стирующую.
Таблица 35. Принципы ступенчатой терапии БЛ
Степень тяжести Ежедневный прием препаратов для контроля заболевания Другие варианты лечения Ступень 1. Интермиттирующая БА Лет необходимости Нет необходимости Ступень 2. Легкая персистирующая БА Ингаляционный ГКС (низкие дозы) Теофиллин замедленного высвобождения, или кромон, или антилейкотриеновый препарат Ступень 3. Персистирующая БА средней степени тяжести Ингаляционный ГКС (средние дозы) плюс ингаляционный бета2-агонист длительного действия Ингаляционный ГКС (средние дозы) плюс ингаляционный (пероральный) р2-агонист длительного действия, или ингаляционный ГКС (средние дозы) плюс теофиллин замедленного высвобождения, или ингаляционный ГКС (средние дозы) плюс антилейкотриеновый препарат, или ингаляционный ГКС (высокие дозы) Ступень 4. Тяжелая персистирующая БА Ингаляционный ГКС (высокие дозы) плюс ингаляционный бета2-агонист длительного действия плюс один или более из следующих препаратов, если это необходимо: теофиллин замедленного высвобождения, антилейкотриеновый препарат, перораль-ный бета2-агонист длительного действия, системный ГКС -Ступень 2. Больным с легкой персистирующей БА необходим ежедневный прием препаратов, контролирующих течение заболевания. Главный способ лечения легкой персистирующей БА – это ежедневный и регулярный прием противовоспалительных препаратов. Предпочтение отдается ингаляционным ГКС. Альтернативой при выборе препарата для контроля БА являются теофиллин замедленного высвобождения, кромоны и антилейкотриеновые препараты, но они менее эффективны, чем ингаляционные ГКС или эффективны только у части больных.
Непосредственно для купирования симптомов рекомендуется использовать ингаляционный (3:-ашнист короткого действия, но частота его применения не должна превышать 3–4 раза в сутки. Как альтернативой для расширения бронхов можно пользоваться ингаляционными антихолинергическими препаратами, пероральными Р2-агонистами короткого действия или теофиллином замедленного высвобождения. Применение симптоматических препаратов более 4 раз в сутки указывает на плохой контроль БА на данной ступени терапии и свидетельствует о том, что у пациента более высокая степень тяжести БА.
Если пациент начал длительную терапию теофиллином за-медленного высвобождения, кромоном или антилейкотриено- вым препаратом, а симптомы спустя 4 недели от начала лечения все еще сохраняются, следует назначить ингаляционные ГКС. Ингаляционные ГКС можно назначить вместо других препаратов или одновременно с ними.
Ступень 3. Препараты выбора для лечения среднетяжелой персистирующей БА – это комбинация ингаляционного ГКС с ингаляционным Р2-агонистом длительного действия 2 раза в сутки. Для введения этих препаратов удобно использовать ин-галяторы с фиксированными комбинациями ГКС и Р2-агонис- тов длительного действия.
Хотя комбинированная терапия ГКС и ингаляционным бета2-агонистом длительного действия наиболее эффективна и явля-ется терапией выбора, можно использовать альтернативную дополнительную терапию, которая включает следующие пре-параты.
1. Теофиллин замедленного высвобождения. Необходимо мониторировать концентрацию теофиллина в сыворотке, она должна находиться в терапевтическом диапазоне от 5 до 15 мкг/мл.
2. Пероральный бета2-агонист длительного действия. Он может быть столь же эффективным, как ингаляционный (бета2-агонист длительного действия, хотя риск нежелательных эффектов у него выше.
3. Антилейкотриеновый препарат. В большинстве случаев он менее эффективен, чем ингаляционный бета2-агонист длительного действия.
Альтернативой указанной комбинированной терапии является увеличение дозы ингаляционных ГКС, однако лучше под-ключить препарат для контроля БА из другого класса, нежели увеличивать дозу ингаляционного ГКС.
Для купирования симптомов БА у пациента должен быть наготове ингаляционный Р2-агонист короткого действия, частота применения которого не должна превышать 3–4 раза в сутки. В качестве альтернативы можно пользоваться ингаляционными антихолинергическими препаратами, пероральными р2-агонистами короткого действия или теофиллином замедленного высвобождения.
Ступень 4. При тяжелой БА цель лечения заключается в достижении минимальной выраженности симптомов, минимальной потребности в ингаляционных р,-агонистах быстрого действия, наилучшей индивидуальной ПСВ, минимальных суточных (ночь – день) колебаниях ПСВ и минимальных нежелательных реакциях на препараты. Для лечения обычно требуется несколько раз в сутки применять препараты, контролирующие БА.
Основной способ лечения тяжелой БА – это комбинация ин-галяционного ГКС в высоких дозах с ингаляционным бета2-агонистом длительного действия 2 раза в сутки. Иногда лучшего контроля удается добиться при использовании ингаляционных ГКС не 2, а 4 раза в сутки. Это сочетание является предпочти-тельным, хотя вместо ингаляционного р,-агониста длительного действия можно использовать теофиллин замедленного вы-свобождения, антилейкотриеновый препарат или пероральный бета2-агонист длительного действия. Эти препараты также можно сочетать с комбинированной терапией ГКС и р,-агонистом длительного действия. Для снятия бронхообструкции используют ингаляционные бета2-агонисты короткого действия. Если есть необходимость в длительном назначении системных ГКС, то их следует назначать в минимально возможных дозах, лучше всего в виде однократного приема утром.
У больных тяжелой БА, имеющих системные побочные ре-акции на ГКС, можно использовать такие препараты, как ме- тотрексат и циклоспорин А. Эти препараты малоэффективны и обладают нежелательными побочными реакциями, зачастую более тяжелыми, чем у стероидов, поэтому их следует применять только в том случае, если они дают явный эффект.
Течение БА может изменяться, при этом возможны спонтанные и обусловленные терапией колебания степени ее тяжести. Длительная терапия ингаляционными ГКС может уменьшить тяжесть БА. После достижения контроля БА и его поддержания в течение не менее 3 месяцев следует попробовать постепенно уменьшить интенсивность поддерживающей терапии и определить минимальное лечение, необходимое для сохранения контроля. Уменьшать терапию нужно постепенно, снижая дозу ингаляционных ГКС примерно на 25% каждые 3 месяца или отменяя бронхолитик у больных, получающих низкие дозы ингаляционных ГКС. После того как доза ГКС составит менее 400 мкг БДП (или эквивалент), можно осторожно отменить дополнительную терапию. На этапе уменьшения интенсивности терапии рекомендуется наблюдать пациента не реже 1 раза в 3 месяца.
Астматический статус – это тяжелый приступ бронхиальной астмы, при котором неэффективны ингаляционные бета2- адреностимуляторы и кортикостероиды. Астматический статус в 1–3% случаев приводит к смерти, поэтому требует оказания неотложной помощи. Лечение проводится в реанимационном отделении. В течение всего периода неэффективности бронходилататоров регулярно определяют газовый состав ар-териальной крови. Всем больным показан мониторинг ЭКГ. Осуществляется непрерывная подача кислорода с низкой скоростью через носовые канюли или маску для поддержания рО2, выше 60 мм рт. ст.
Ингаляционные бета2-агонисты короткого действия можно назначать в сочетании с p-адреностимуляторами для приема внутрь, например тербуталином (2,5–5,0 мг внутрь каждые 8 ч), сальбутаиолом (2–4 мг внутрь каждые 8 ч) или орципреналином (10–20 мг внутрь каждые 6 ч).
Метилксантины (аминофиллин и теофиллин) короткого действия сначала назначают в насыщающей дозе, а затем про-водят длительную инфузию в периферическую вену Концен-трацию теофиллина в сыворотке следует определять каждые 12–24 ч. Если нет возможности определить концентрацию препарата в сыворотке, то теофиллин короткого действия не следует назначать больным, постоянно принимающим теофиллин замедленного высвобождения.
Системные ГКС назначают в средних и высоких дозах. Так, доза гидрокортизона для взрослых колеблется от 200 мг внутривенно 4 раза в сутки до 4–6 мг/кг каждые 4–6 ч, доза метилпреднизолона – от 60 мг до 250 мг внутривенно каждые 6 ч. Доза метилпреднизолона для детей составляет 1–2 мг/кг внутривенно каждые 6 ч. Если через 24 ч после начала лечения существенного улучшения не наступает, то дозу удваивают каждые 24 ч до максимально допустимой.
Инфузии жидкости показаны во время приступа брон-хиальной астмы, потому что теряется около 5% общего объема жидкости. Применяют 5% раствор глюкозы и изотонический раствор хлорида натрия. Инфузию жидкости продолжают в течение 6–12 ч, затем по возможности переходят на прием жидкости внутрь. Во избежание перегрузки объемом необходимо следить за количеством введенной жидкости и ее потерями. Особенно осторожно нужно проводить инфузионную терапию при сердечно-сосудистых заболеваниях.
Антибиотики назначают при вторичной бактериальной инфекции.
При ацидозе снижается чувствительность Р-адренорецепторов к эндогенным и экзогенным катехоламинам. Поэтому, когда статус на фоне ацидоза (показатель BE – base excess – имеет отрицательные значения) не купируется, внутривенно назначают бикарбонат натрия. Его дозу (ммоль) рассчитывают по следующей формуле: 0,3 • массу тела (кг) • BE (мэкв/л).
Санация бронхов также необходима при лечении БА. Откашливание способствует эффективному отделению мокроты при небольших затратах энергии. Если мокрота очень густая, для облегчения ее отхождения проводят ингаляции гипотонических растворов, например 0,45% раствора хлорида натрия.
Поддерживающее лечение в стационаре. Дозы и режим введения препаратов подбираются индивидуально, в зависимости от состояния больного. Для оценки состояния регулярно проводят:
1. исследование газов артериальной крови, особенно если исходно рСО превышало 40 мм рт. ст., а рО2, было менее 60 мм рт. ст.;
2. измерение ОФВ, и пиковой объемной скорости с помощью индивидуального пикфлоуметра до и после применения ингаляционных бронходилататоров;
3. ежедневное определение абсолютного числа эозинофилов в крови для оценки эффективности лечения кортикостероидами. Так, если в течение 24 ч абсолютное число эозинофилов не опу-скается ниже 50 в 1 мкл крови, то дозу ГКС увеличивают.
В отсутствие быстрого и стойкого повышения пиковой объемной скорости в ответ на ингаляцию бронходилататора пока-заны ГКС в высоких дозах, частое применение ингаляционных Р^-адреномиметиков и внутривенное введение аминофиллина или теофиллина.
Транквилизаторы обычно не назначают, особенно при нормальном или повышенном рС02, так как они угнетают дыхательный центр. При выраженном беспокойстве применяют диазепам, лоразепам или алпразолам.
Прогноз. Если бронхиальная астма начинается в раннем детском возрасте, то прогноз, как правило, благоприятный: к периоду полового созревания у 80% больных все проявления заболевания исчезают или становятся менее выраженными. Примерно у 20% из них после 45 лет возникает рецидив заболевания. Случаи выздоровления среди взрослых больных бронхиальной астмой отмечаются реже.
У детей БА протекает тяжелее, если она сочетается с аллергическими заболеваниями верхних дыхательных путей или атопическим дерматитом. Прогноз особенно неблагоприятен у больных с аспириновой триадой, которая обычно наблюдается у взрослых, чаще у женщин.
Летальность бронхиальной астмы увеличивается с возрастом: у детей она составляет не более 1% (1–1,5: 100 000 в популяции), у взрослых – 2–4%.
Факторы риска смерти можно условно разделить на две группы.
1. Объективные:
• частые, длительные и плохо поддающиеся лечению при-ступы;
• астматический статус в анамнезе;
• низкая эффективность противовоспалительного лечения.
2. Субъективные:
• бесконтрольное применение бета-адреностимуляторов;
• низкий уровень знаний больного о своем заболевании;
• отсутствие взаимопонимания между больным и врачом;
• низкий уровень жизни больного;
• недоступность медицинской помощи.
Более 800 000 книг и аудиокниг! 📚
Получи 2 месяца Литрес Подписки в подарок и наслаждайся неограниченным чтением
ПОЛУЧИТЬ ПОДАРОК