4.3. Лазерная стимуляция в повышении уровня работоспособности и специальной тренированности спортсменов
Первым о возможности использования низкоэнергетического лазерного излучения в качестве средства восстановления и повышения работоспособности спортсменов заявил В. М. Инюшин (1985).
В лабораторном эксперименте с использованием велоэргометрического теста до отказа с параллельным газоанализом доказана возможность повышения показателей физической работоспособности у тренирующихся спортсменов-пловцов 15–17 лет – в течение двух недельных тренировочных микроциклов на фоне курсового чрескожного лазерного воздействия [С. Е. Павлов с соавт., 1992] (рис. 9, 10).

Рис. 9. Среднегрупповые показатели максимального потребления кислорода (мл/мин) пловцов экспериментальной и контрольной групп (юноши) в максимальном велоэргометрическом тесте до начала (1-й тест) и после окончания (2-й тест) эксперимента

Рис. 10. Среднегрупповые показатели мощности (кг/м) выполненной работы в максимальном велоэргометрическом тесте пловцами экспериментальной и контрольной групп (юноши) до начала (1-й тест) и после окончания (2-й тест) эксперимента
В том же 1992 г. метод чрескожной лазерной стимуляции спортивной работоспособности и уровня тренированности был использован в подготовке пловца-спринтера Н. Мещеряковой Спортсменка в марте 1992 г. была отчислена из группы тренера А. Селезнева с формулировкой «за бесперспективность», но после прохождения курса лазерной стимуляции на фоне самостоятельной целенаправленной оптимизированной тренировочной работы попала в состав олимпийской сборной СНГ и стала бронзовым призером Олимпийских игр в Барселоне в эстафетном плавании. Результаты проделанной работы были представлены экстренно собранной в отпускном августе комиссии во главе с президентом Олимпийского комитета России В. Г. Смирновым.
Однако высокие показатели анаэробной или аэробной производительности (тем более – продемонстрированные атлетами в неспецифических по отношению к основной соревновательной деятельности тестах) сами по себе не могут быть гарантией достижения более высоких спортивных результатов. Как уже ранее было сказано, основным показателем при оценке динамики уровня тренированности спортсмена в процессе спортивной подготовки должен являться сам спортивный результат, или как минимум – результаты педагогического тестирования, максимально отвечающего требованиям спортивной специализации испытуемого. Одним из таких тестов для пловцов может быть признан метод «четырехкратного максимального упражнения», предложенный Е. А. Ширковцом (1968). Тест Е. А. Ширковца – проплывание с максимальной скоростью 4-х отрезков по 50 м избранным способом плавания с постоянными или разными интервалами отдыха – широко используется для оценки отдельных сторон подготовленности пловца [Т. Н. Кузнецова, 1986].
В педагогическом эксперименте приняли участие 36 пловцов (юноши 11–12 лет), тренирующихся у трех разных тренеров. Все спортсмены были разделены на две равные группы: экспериментальную (ЭГ) и контрольную (КГ) (по 18 чел.).
Пловцы обеих групп проходили четырехкратное плавательное тестирование (4?50 м, вольным стилем): в первый день начала эксперимента – после дня отдыха; через две недели от начала эксперимента, в первый день третьего недельного микроцикла – после дня отдыха; через четыре недели от начала эксперимента, в первый день пятого недельного микроцикла – после дня отдыха; и через шесть недель от начала эксперимента, в начале седьмого недельного микроцикла – после дня отдыха. На протяжении всего эксперимента спортсмены тренировались один раз в день, 6 дней в неделю, по привычной для них тренировочной программе без внесения в нее с нашей стороны каких-либо корректив. В течение четырех недель первого и второго этапов данного эксперимента не проводилось каких-либо мероприятий с пловцами как КГ, так и ЭГ. Целью данного этапа эксперимента явилась оценка изменений уровня тренированности (результативности в проплывании теста) у пловцов КГ и ЭГ вследствие четырехнедельных ежедневных регулярных тренировок в плавании.
На протяжении двух недель третьего этапа каждый из участников экспериментальной группы прошел курс неинвазивного лазерного воздействия по разработанной нами методике и схеме. Сравнивались среднегрупповые результаты 1-го, 2-го, 3-го и 4-го тестирований спортсменов контрольной и экспериментальной групп, представленные здесь в виде показателей скорости проплывания отрезков в плавательном тесте (табл. 2).
Из представленных в таблице результатов следует, что шесть недельных тренировочных микроциклов пловцов КГ и четыре недельные тренировочные микроцикла пловцов ЭГ не привели к значимым изменениям (р>0,1) среднегрупповых показателей скорости проплывания 50-метровых отрезков и среднегрупповых показателей средней скорости проплывания теста, что свидетельствует о неэффективности предложенных пловцам обеих групп тренировочных программ.
Таблица 2
Среднегрупповые показатели скорости проплывания теста 4?50 м спортсменами контрольной и экспериментальной групп в 1-м, 2-м, 3-м и 4-м тестированиях

Примечание: Мv1, Mv2, Mv3, Mv4 – среднегрупповые показатели скорости проплывания 1-го, 2-го, 3-го и 4-го 50-метровых отрезков; Mvcp – среднегрупповые показатели средней скорости проплывания теста; m – ошибка среднего.
Достоверный прирост (р<0,05) среднегрупповых показателей скорости проплывания 50-метровых отрезков и среднегруппового показателя средней скорости проплывания теста свидетельствует об эффективности проведенных в 5-м и 6-м недельных тренировочных микроциклах восстановительных мероприятий с применением низкоэнергетических лазеров (рис. 11).

Рис. 11. Среднегрупповые показатели скорости проплывания четырех 50-метровых отрезков юными пловцами экспериментальной (ЭГ) и контрольной (КГ) групп в тестированиях «1», «2», «3», «4» (м/с)
Метод лазерной стимуляции спортивной работоспособности и уровня тренированности был использован в 1998 г. в программе подготовки лыжника В. Купчинского (инвалид по зрению, член Паралимпийской сборной команды России) к Паралимпийским играм в Нагано.
Основой программы явилось понимание необходимости: оптимизации тренировочного процесса при условии знаний и использования в построении тренировки законов адаптации организма к тренировочным нагрузкам; комплексного использования педагогических и медико-биологических методов контроля за переносимостью тренировочных нагрузок, восстановления после физических нагрузок, повышения спортивной работоспособности и уровня тренированности спортсмена.
Работа с лыжником-паралимпийцем В. К. проводилась в условиях предсоревновательного сбора на базе учебно-спортивного комплекса «Планерное» – с 16 февраля по 3 марта 1998 г. непосредственно перед стартами на Паралимпийских играх в г. Нагано (Япония), проходивших с 7 по 14 марта 1998 г. За критерий исходной подготовленности В. К. были взяты результаты (2 серебряные и 1 золотая медаль), показанные им на четвертом открытом чемпионате России по лыжным гонкам и биатлону среди спортсменов-инвалидов, проходившем в г. Тобольске с 23 по 27 января 1998 г.
В качестве основного средства стимуляции спортивной работоспособности и уровня тренированности был применен метод чрескожного полизонального лазерного воздействия. Для «субстратного обеспечения» функций организма использовался комплекс пищевых добавок и фармакологических средств, разрешенных к применению в спорте медицинской комиссией МОК: 90 % plus protein (Weider Nutrition Group, USA), Infiniti (Cybergenics Corporation, USA), Liquid L-carnitine (Ultimate Nutrition Products, USA), Inosine Energizer (Sport&Fitness-Vertrieb Benno Dahmen GMBH, Germany), Centrum (Lederle Labaratories Division American Cyanamid Company, USA), Beviplex (ICN Galenika, Beograd-Zemun), панангин (Гедеон Рихтер, Венгрия), апивит («Парафарм», «Союз-Прогресс», Россия), экстракт элеутерококка (ОАО «Дальхимфарм», Россия).
Результатом проведенного эксперимента следует считать итоги выступления спортсмена на Паралимпийских играх в Нагано – 4 золотые медали в лыжных гонках на 10 км, 15 км, 20 км и в эстафетной лыжной гонке 4?5 км. Опыт комплексной предсоревновательной подготовки В. К. к Паралимпийским играм следует считать убедительной иллюстрацией наличия многочисленных резервов в теории и практике подготовки спортсменов [С. Е. Павлов с соавт., 1998].
По просьбе О. И. Романцева, занимавшего в начале 2000-х годов посты главного тренера ФК «Спартак» (Москва) и главного тренера сборной команды России по футболу, нами была проведена демонстрация возможностей использования комплексного метода стимуляции спортивной работоспособности и уровня тренированности в подготовке квалифицированных футболистов [С. Е. Павлов, 2003].
Работа проводилась в течение трех недельных тренировочных микроциклов с участием квалифицированных футболистов 18–20 лет – игроков дублирующего состава ФК «Спартак» (Москва). Основной задачей данной работы являлась демонстрация эффективности действия разработанного нами комплекса методов повышения спортивной работоспособности и стимуляции уровня тренированности футболистов. В работе был использован ранее апробированный на представителях циклических видов спорта комплекс средств и методов восстановления и повышения спортивной работоспособности и уровня тренированности, который включал: метод повышения спортивной работоспособности и уровня тренированности с использованием низкоэнергетических лазеров и комплекс фармакологических средств и пищевых добавок, подобранных на основании представлений о специфичности тренировочной работы и формируемого в результате выполнения этой работы функционального запроса организма.
Футболисты основной (3 чел.) и контрольной (4 чел.) групп тренировались по общей программе окончания предсезонной подготовки команды. В качестве основного тестирующего упражнения нами использовался бег со старта в полную силу на отрезке 30 м. Тесты выполнялись в начале («Тест 1») тренировки (после 10–15-минутной разминки) и в конце («Тест 2») тренировки. Оценивалось среднее время троекратного пробегания отрезков. Спортсмены основной и контрольной групп проходили тестирования до начала (исходные результаты) и по окончании демонстрационной работы (заключительные результаты). Оценивались и сравнивались индивидуальные исходные и заключительные результаты тестирований спортсменов обеих групп. В таблице 3 представлены данные тестирований футболистов дублирующего состава ФК «Спартак» (Москва) основной (3 чел.) и контрольной (4 чел.) групп.
В исследовании (табл. 3) не зафиксировано реального улучшения индивидуальных результатов тестирований спортсменов контрольной группы, что может быть объяснено адаптированностью спортсменов контрольной группы к тренировочным нагрузкам, предшествующим демонстрационной работе, при фактической неизменности этих нагрузок в период нашей работы со спортсменами.
Таблица 3
Данные тестирований футболистов дублирующего состава ФК «Спартак» (Москва) основной и контрольной групп

Все участники основной группы по истечении трех недельных тренировочных микроциклов улучшили свои показатели в предложенных им тестах. Учитывая тот факт, что все спортсмены тренировались по общей программе, разработанной тренерами дублирующего состава ФК «Спартак», следует сделать вывод о том, что именно комплекс использованных нами в демонстрационной работе средств и методов повышения спортивной работоспособности и уровня тренированности явился тем фактором, который, позитивно изменив условия «существования» (тренировок и восстановления) организма спортсменов, позволил им выйти на более высокий уровень тренированности. Следует отметить и то, что, по субъективным оценкам тренеров команды, спортсменам основной группы удалось за трехнедельный период улучшить и другие (не оцениваемые нами в работе) специфические двигательные и игровые показатели. Двое испытуемых основной группы по окончании эксперимента были переведены в основной состав ФК «Спартак». Показательно, что до начала данной работы один из них регулярно не попадал в игровой состав «дубля». Третий футболист основной группы из-за конфликта с руководством клуба был вынужден покинуть команду, и его дальнейшую спортивную судьбу нам проследить не удалось.
Результаты, полученные в демонстрационной работе с участием квалифицированных футболистов дублирующего состава ФК «Спартак» (Москва), показывают, что позитивное и физиологически оправданное изменение условий существования организма спортсмена (при условии выполнения им специфических нагрузок) с помощью комплекса средств (и прежде всего – низкоэнергетических лазеров) и методов повышения спортивной работоспособности позволяет добиться существенного роста тренированности атлетов.
Ранее апробированные на представителях циклических и игровых видов спорта комплексные методы повышения уровня тренированности, с обязательным использованием в этом комплексе методов стимуляционного лазерного воздействия, были использованы в эксперименте с участием квалифицированных хоккеистов 18–20 лет [С. Е. Павлов, А. С. Павлов, 2010].
В двухнедельном эксперименте изучалась эффективность сочетанного влияния специфических тренировочных нагрузок и комплекса средств и методов восстановления и повышения спортивной работоспособности на динамику уровня тренированности спортсменов, которая оценивалась по результатам специфических тестов. Для хоккеистов основной группы (5 чел.) была разработана программа тренировочных занятий, направленная на повышение стартовой скорости и скорости бега на коньках на коротких и средних отрезках. Спортсмены тренировались на льду и вне льда (с отягощениями) 4–6 раз в неделю по 1,5–2,5 ч на протяжении 2-х недель. В основной группе на протяжении всего эксперимента проводился комплекс мероприятий, направленных на ускорение процессов восстановления после тренировочных нагрузок и повышение специальной работоспособности атлетов. В комплексе данных мероприятий были использованы: метод транскутанного полизонального низкоэнергетического лазерного воздействия на сосудисто-нервные сплетения и индивидуально подобранные фармакологические средства и пищевые добавки, разрешенные к применению в спорте медицинской комиссией МОК.
Контрольная группа (7 чел.) тренировалась на протяжении 2-х недель в своих командах. В качестве тестирующих упражнений в числе прочих использовался бег на коньках со старта в полную силу на отрезке 26 м. Тесты выполнялись в начале тренировки (Тест 1) (после 10–15-минутной разминки) и в конце тренировки (Тест 2). Оценивали среднее время трехкратного пробегания каждого из отрезков.
Спортсмены основной и контрольной групп проходили тестирования до начала эксперимента (исходные результаты) и по окончании эксперимента (заключительные результаты). Оценивали и сравнивали индивидуальные исходные и заключительные результаты тестирований спортсменов обеих групп (рис. 12).
В эксперименте не зафиксировано значимых изменений в индивидуальных результатах заключительных тестирований (по сравнению с исходными результатами тестов) спортсменов контрольной группы. Данный факт может быть объяснен адаптированностью спортсменов контрольной группы к привычным для них тренировочным нагрузкам, образу жизни и стабильностью уровня их тренированности.

Рис. 12. Индивидуальные результаты исходных (светлый фон) и заключительных (темный фон) тестирований (бег на коньках 26 м со старта) хоккеистов контрольной (7 чел.) и основной (5 чел.) групп – до и после проведения комплексных мероприятий по повышению уровня тренированности
Спортсмены основной группы, тренировавшиеся по разработанной нами программе и использовавшие в своей подготовке комплекс средств и методов восстановления и повышения работоспособности, за две недели тренировок значительно улучшили специфические показатели тренированности, оцениваемые в тестах. Основой полученных результатов стали: целенаправленная тренировка специфических двигательных функций организма и благоприятные условия для реализации и улучшения этих функций, созданные при помощи комплекса средств и методов восстановления и повышения работоспособности организма.
Следует отметить, что данный эксперимент проводился в крайне сжатые сроки (два недельных микроцикла). Тем не менее, благодаря абсолютной физиологической оправданности использованных нами в эксперименте средств и методов подготовки спортсменов основной группы, им удалось значительно улучшить избранные показатели спортивной работоспособности [С. Е. Павлов, А. С. Павлов, 2010].
Обращает на себя внимание то, что двое из хоккеистов основной группы в заключительных тестированиях (которым предшествовали комплексные мероприятия по повышению спортивной работоспособности и уровня тренированности с использованием, в том числе, метода лазерной стимуляции), в тестах «бег на коньках со старта на дистанции 26 метров», проведенных в конце заключительной тренировки, бежали быстрее, чем они же в таком же тесте в начале заключительной тренировки. Мы неоднократно наблюдали данный феномен и в других наших экспериментах, но объяснения ему на сегодняшний день у нас нет.
В исследовании, проведенном во время зонального всероссийского турнира по хоккею среди студенческих команд (г. Тверь, 2014 г.) с участием студенческой хоккейной команды РГУФКСМиТ, изучали динамику среднегрупповых показателей дисперсионных характеристик функционирования миокарда хоккеистов основной группы, использовавших в предстартовой подготовке методику чрескожной лазерной стимуляции спортивной работоспособности – в сравнении с динамикой среднегрупповых показателей дисперсионных характеристик функционирования миокарда хоккеистов контрольной группы. Для реализации методики полизональной чрескожной лазерной стимуляции спортивной работоспособности хоккеистов был использован портативный матричный магнито-лазерный инфракрасный терапевтический аппарат «МИЛТА-спорт» (НПО «Космическое приборостроение», Россия). Показатели дисперсионных характеристик функционирования миокарда оценивали с помощью системы экспресс-диагностики состояния сердца «Кардиовизор-спорт» (обследования хоккеистов проводились ежедневно с утра, после завтрака, перед выездом на игры).
Из представленных на рис. 13 данных видно, что полизональное чрескожное лазерное стимуляционное воздействие оказывало позитивное влияние на состояние миокарда хоккеистов основной группы уже с первого сеанса и обеспечивало игрокам лучшие условия для функционирования сердца на протяжении всего хоккейного турнира. Это позволяет сделать вывод о том, что лазерное стимуляционное воздействие не является, по крайней мере непосредственно для сердца, «кнутом», вызывающим неадекватное повышение напряженности работы сердечной мышцы. Более того, полученные данные можно расценивать как свидетельство экономизации функций сердца в результате лазерного стимуляционного воздействия на организм спортсмена. Можно также предположить, что в основе одного из механизмов, способствующих этой экономизации сердечной функции, лежит улучшение реологических свойств крови в результате чрескожного лазерного воздействия на магистральные сосуды [С. Е. Павлов, А. С. Павлов, А. А. Петров, 2014].

Рис. 13. Динамика среднегрупповых показателей дисперсионных характеристик функционирования миокарда хоккеистов основной и контрольной групп, участвовавших в турнире
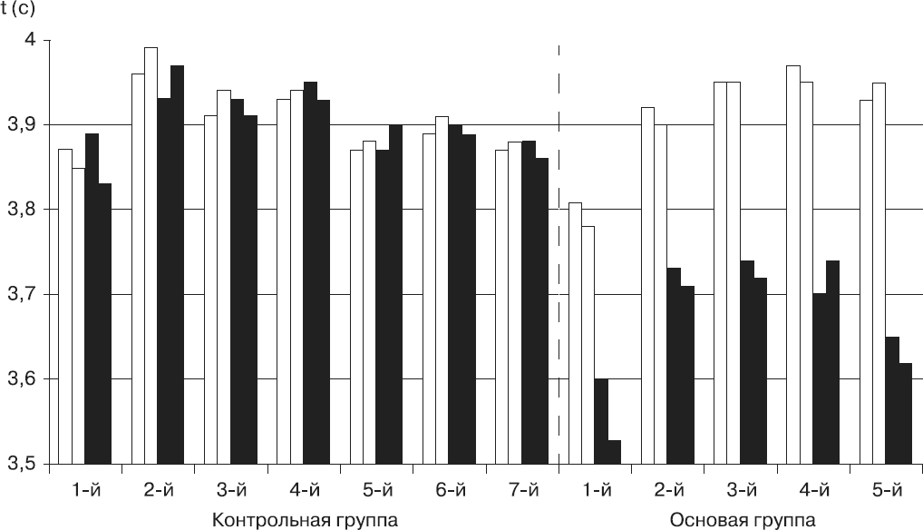
Для проведения другой экспериментальной работы по изучению эффектов низкоэнергетической лазерной стимуляции на показатели специальной тренированности (скоростной выносливости) хоккеистов в период предсоревновательной подготовки были привлечены игроки молодежной и юниорской команд СДЮСШОР № 85 г. Москвы. В эксперименте приняли участие 23 хоккеиста в возрасте от 15 до 17 лет (экспериментальная группа – 9 чел., контрольная группа – 14 чел.).
Хоккеисты ЭГ на протяжении трех недельных микроциклов трижды в неделю тренировались с использованием лазерного стимуляционного воздействия непосредственно перед тренировочным занятием на льду (курс лазерной стимуляции – 9 сеансов). Лазерное стимуляционное воздействие осуществляли с помощью портативных матричных магнито-свето-ИК-лазерных терапевтических аппаратов «МИЛТА-спорт» с использованием методики чрескожного полизонального лазерного воздействия на сосудисто-нервные магистрали и сердце (рис. 14). Уровень специальной тренированности хоккеистов оценивали по результатам пробегания на коньках на время ледового «челночного» теста 4?54 м. Тестирования проводили дважды – в начале эксперимента и по его окончании, каждый раз – после дня отдыха, в начале тренировки, после разминки. Результаты тестирований фиксировались с помощью ручных секундомеров. Оценивали и сравнивали среднегрупповые результаты тестирований хоккеистов контрольной и экспериментальной групп.
Среднегрупповой результат пробегания на коньках теста 4?54 м хоккеистами КГ в исходном тестировании составил 36,36±0,78 с, в заключительном тестировании – 36,32±0,87 с. Различие в среднегрупповых результатах в исходном и заключительном тестированиях хоккеистов КГ (рис. 15) недостоверно (р?0,5), что свидетельствует о фактическом отсутствии роста тренированности хоккеистов КГ, оцененной по результатам выбранного метода тестирования.
Среднегрупповой результат пробегания на коньках теста 4?54 м хоккеистами ЭГ в исходном тестировании составил 37,52±0,69 с, в заключительном тестировании – 36,02±0,66 с. Выявлено достоверное (р?0,01) улучшение среднегруппового показателя времени пробегания на коньках хоккеистами ЭГ теста 4?54 м в заключительном тестировании (рис. 15), что следует расценивать как позитивное следствие применения в их подготовке курса лазерной стимуляции.

Рис. 14. Зоны воздействия в методике полизональной чрескожной лазерной стимуляции, применяемой в предсоревновательной подготовке хоккеистов
По результатам проведенного эксперимента нами сделаны следующие выводы:
1. Адаптированность хоккеистов к относительно привычным тренировочным нагрузкам не позволяет им повысить уровень тренированности без целенаправленного изменения специфики тренировочного процесса или без использования в их подготовке эффективных средств и методов повышения тренированности.

Рис. 15. Среднегрупповые результаты исходного и заключительного тестирования (пробегание на время дистанции 4?54 м на коньках) хоккеистов контрольной и экспериментальной групп
2. Использование в подготовке хоккеистов в предсоревновательном периоде лазерного стимуляционного воздействия обуславливает позитивные для спортивной деятельности изменения «внутренней» среды организма, что на фоне даже относительно привычных для него тренировочных нагрузок приводит к адаптивным изменениям в организме спортсмена и выраженному повышению его тренированности.
Полученные в настоящем и ранних исследованиях результаты позволяют с уверенностью рекомендовать широкое внедрение в практику предсоревновательной подготовки хоккеистов метода чрескожной лазерной стимуляции [С. Е. Павлов, А. С. Павлов, 2014].
Чрескожная лазерная стимуляция была успешно использована нами при подготовке пловчихи к чемпионату мира по плаванию среди ветеранов 2015 г. в Казани. В основу работы по подготовке спортсменки легли законы адаптации [С. Е. Павлов, 2000, 2010; С. Е. Павлов, Т. Н. Павлова, 2011] и современные принципы построения тренировочного процесса [А. Н. Блеер, А. П. Бондарчук, С. Е. Павлов, М. М. Ковылин, А. С. Павлов, 2014; А. П. Бондарчук, А. Н. Блеер, С. Е. Павлов, 2014].
Продолжительность работы по подготовке к чемпионату мира по плаванию среди ветеранов составила календарный месяц. За этот период спортсменкой было выполнено 20 тренировочных занятий. Объем плавательной нагрузки каждого тренировочного занятия варьировался от 350 до 450 м. Основные тренировочные задания состояли из проплываний с максимальной и субмаксимальной скоростью способом брасс дистанции 50 м с фиксацией результата каждого тренировочного задания. В качестве дополнительного упражнения использовалась работа на тренажере с постоянным сопротивлением – тяга руками, имитирующая гребковые движения при плавании брассом. Перед каждой тренировкой проводилась лазерная стимуляция по ранее разработанной методике [Т. Н. Кузнецова, С. Е. Павлов, 1997; S.Ye. Pavlov, 1998; и др.].
Изначально было понятно, что 20 тренировочных занятий окажется недостаточно для вхождения спортсменки в состояние спортивной формы в используемых ею в тренировках плавательных упражнениях. «Спортивная форма – состояние функциональной готовности спортсмена к совершению соревновательной деятельности на основе достигнутого на данный момент уровня тренированности» и «… динамически меняющееся состояние, отражающее характер взаимосодействия различных сторон подготовленности спортсмена в демонстрации им спортивного результата» [А. П. Бондарчук, А. Н. Блеер, С. Е. Павлов, 2014].
В связи с этим расчет был исключительно на повышение за отпущенный нам период времени уровня тренированности спортсменки. «Тренированность – состояние специфической структурно-функциональной готовности атлета к совершению им соревновательной деятельности» [А. П. Бондарчук, А. Н. Блеер, С. Е. Павлов, 2014]. Повышение уровня тренированности с большой долей вероятности позволило бы спортсменке продемонстрировать относительно высокие для нее спортивные результаты на чемпионате мира на дистанциях 50 м и 100 м брассом. Увеличить число тренировочных занятий с целью достижения состояния спортивной формы мы в данном конкретном случае сочли невозможным, поскольку при этом из-за недовосстановления (ввиду сокращения времени между тренировочными занятиями и его недостаточности для восстановления) неизбежно был бы уменьшен или исключен рост тренированности спортсменки [С. Е. Павлов, Т. Н. Павлова, 2011], уровень которой наиболее полно проявляется в спортивных результатах. Оптимальный для спортсменки объем плавательной нагрузки был определен в процессе тренировок опытным путем с ориентировкой на степень эффективности восстановительных процессов ее организма.
В результате выполнения такой работы на дистанции 50 м брассом спортсменке удалось улучшить свой результат до 36,41 с и побить собственный рекорд России для ее возрастной группы, завоевав на этой дистанции на чемпионате мира среди ветеранов бронзовую медаль. На дистанции 100 м брассом спортсменке также удалось улучшить свой прежний результат – с 1 мин 21,78 с до 1 мин 21,08 с – и занять в плавании на этой дистанции 3 место.
Следует понимать, что само по себе лазерное стимуляционное воздействие на организм не повышает уровня спортивной работоспособности и специальной тренированности атлета и не приводит к росту спортивного результата. В воздействии на организм инфракрасного лазерного света следует в первую очередь выделять его неспецифические свойства и характер. Именно такой подход позволяет понять, что лазерное воздействие на организм спортсмена стимулирует в нем те процессы, которые в данный момент в организме доминируют в связи с той или иной деятельностью организма. То есть избирательность стимуляции адаптационных процессов в организме определяется спецификой деятельности самого организма. Именно отсюда проистекает главенство содержания спортивно-педагогического процесса, эффективность которого может быть значительно повышена при помощи лазерной стимуляции.
И кардинальное отличие лазерного света от других средств и методов неспецифической стимуляции функций организма, которые могут применяться в подготовке квалифицированных спортсменов, состоит в том, что лазерный свет сам по себе является потоком энергии (который при лазерном воздействии на организм поступает в последний извне), а не «кнутом», заставляющим организм экстренно извлекать запасы собственной энергии, что в крайних случаях способно довести его до энергетического истощения и даже смерти. С этих позиций использование лазерного стимуляционного воздействия в подготовке квалифицированных атлетов – еще и профилактика перенапряжений наиболее нагружаемых в процессе выполнения тренировочной и соревновательной работы тканей, органов и анатомо-физиологических систем организма.
Но необходимо понимать, что любое повышение интенсивности и объема работы организма требует адекватного совершаемой работе «субстратного» обеспечения его функций. Недостаток того или иного «субстрата», участвующего в конкретной работе организма, способен не только сделать совершаемую организмом работу неэффективной, но и привести к структурно-функциональным нарушениям в его тканях и органах и к развитию в нем патологических процессов, в той или иной степени препятствующих дальнейшей реализации спортивных возможностей атлета. Следовательно, целенаправленное и целесообразное «субстратное» обеспечение функции организма спортсмена должно быть неотъемлемой частью комплексной подготовки квалифицированного спортсмена.
Более 800 000 книг и аудиокниг! 📚
Получи 2 месяца Литрес Подписки в подарок и наслаждайся неограниченным чтением
ПОЛУЧИТЬ ПОДАРОК