Оценка достоверности

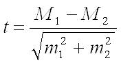
Достоверность разности между двумя средними величинами определяется по формуле:

, где М1 и М2 – две средних арифметических величины, полученные в двух самостоятельных независимых группах наблюдений;

m1 и m2 – их средние ошибки (выражение   называют средней ошибкой разности двух средних).

При t≥2 разность средних арифметических может быть признана существенной и неслучайной, то есть достоверной. Это значит, что и в генеральной совокупности средние величины отличаются, и что при повторении подобных наблюдений будут получены аналогичные различия. При t = 2 надежность также увеличивается, а риск ошибки уменьшается. При t‹ 2 достоверность разности средних величин считается недоказанной.

Таблица t (критерии Стьюдента)

n-1 Процент возможной ошибки 5% 1% 0,1% 1 12,70 63,66 - 2 4,30 9,92  31,60 3  3,18  5,84  12,94 4  2,78  4,60  8,61 5  2,57  4,03  6,86 6  2,42  3,71  5,96 7  2,36  3,50  5,31 8  2,31  3,36  5,04 9  2,26  3,25  4,78 10 2,23 3,17 4,59 11  2,20  3,11  4,44 12  2,18  3,06  4,32 13  2,16  3,01  4,22 14  2,14  2,98  4,14 15  2,13  2,95  4,07 16  2,12  2,92  4,02 17  2,11  2,90  3,96 18  2,10  2,88  3,92 19  2,09  2,86  3,88 20  2,09  2,84  3,85 21  20,8  2,83  3,82 22  2,07  2,82  3,79 23  2,07  2,81  3,77 24  2,06  2,80  3,75 25  2,06  2,79  3,73 26  2,06  2,78  3,71 27  2,05  2,77  3,69 28  2,05  2,76  3,67 29  2,04  2,76  3,66 30  2,04  2,75  3,64 ∞  1,96  2,58  3,29

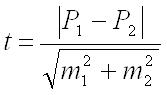
Достоверность разности показателей

Использует формулу:

  

, где Р – показатель

m – ошибка показателя

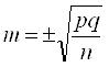
Достоверность показателя определяется с помощью его средней ошибки по формуле: , где р – размер показателя, выраженный в долях единицы, в процентах, в промилле; q – равно 1-p или 100-p или 1000-р (величина, дополняющая показатель до основания); n – число наблюдений.

Более 800 000 книг и аудиокниг! 📚

Получи 2 месяца Литрес Подписки в подарок и наслаждайся неограниченным чтением

ПОЛУЧИТЬ ПОДАРОК