Средние величины, виды, методика расчета, применение в здравоохранении

Средние величины – совокупная обобщающая характеристика количественных признаков. Применение средних величин:

1. Для характеристики организации работы лечебно-профилактических учреждений и оценки их деятельности:

• в поликлинике: показатели нагрузки врачей, среднее число посещений, среднее число жителей на участке;

• в стационаре: среднее число дней работы койки в году; средняя длительность пребывания в стационаре;

• в центре гигиены, эпидемиологии и общественного здоровья: средняя площадь (или кубатура) на 1 человека, средние нормы питания (белки, жиры, углеводы, витамины, минеральные соли, калории), санитарные нормы и нормативы и т.д.;

2. Для характеристики физического развития (основных антропометрических признаков морфологических и функциональных);

3. Для определения медико-физиологических показателей организма в норме и патологии в клинических и экспериментальных исследованиях.

4. В специальных научных исследованиях.

Отличие средних величин от показателей:

1. Коэффициенты характеризуют альтернативный признак, встречающийся только у некоторой части статистического коллектива, который может иметь место или не иметь место.

Средние величины охватывают признаки, присущие всем членам коллектива, но в разной степени (вес, рост, дни лечения в больнице).

2. Коэффициенты применяются для измерения качественных признаков. Средние величины – для варьирующих количественных признаков.

Виды средних величин:

1. средняя арифметическая, ее характеристики – среднее квадратическое отклонение и средняя ошибка мода и медиана. Мода (Мо) – соответствует величине признака, который чаще других встречается в данной совокупности. Медиана (Ме) – величина признака, занимающая срединное значение в данной совокупности. Она делит ряд на 2 равные части по числу наблюдений. Средняя арифметическая величина (М) – в отличие от моды и медианы опирается на все произведенные наблюдения, поэтому является важной характеристикой для всего распределения.

2. другие виды средних величин, которые применяются в специальных исследованиях: средняя квадратическая, кубическая, гармоническая, геометрическая, прогрессивная.

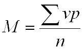
Средняя арифметическая характеризует средний уровень статистической совокупности.

  – для простого ряда, где 

∑v – сумма вариант,

n – число наблюдений.

  - для взвешенного ряда, где

∑vр – сумма произведений каждой варианты на частоту ее встречаемости

n – число наблюдений.

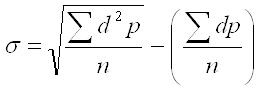
Среднее квадратическое отклонение средней арифметической или сигма (?) характеризует разнообразие признака

   – для простого ряда

∑d2 – сумма квадратов разности средней арифметической и каждой варианты (d = |M-V|)

n – число наблюдений

   – для взвешенная ряда

∑d2p – сумма произведений квадратов разности средней арифметической и каждой варианты на частоту ее встречаемости,

n – число наблюдений.

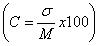
О степени разнообразия можно судить по величине коэффициента вариации . Более 20% – сильное разнообразие, 10–20% – среднее разнообразие, менее 10% – слабое разнообразие.

Если к средней арифметической величине прибавить и отнять от нее одну сигму (М ± 1?), то при нормальном распределении в этих пределах будет находиться не менее 68,3% всех вариант (наблюдений), что считается нормой для изучаемого явления. Если к 2 ± 2?, то в этих пределах будет находиться 95,5% всех наблюдений, а если к М ± 3?, то в этих пределах будет находиться 99,7% всех наблюдений. Таким образом, среднее квадратическое отклонение является стандартным отклонением, позволяющим предвидеть вероятность появления такого значения изучаемого признака, которое находится в пределах заданных границ.

Средняя ошибка средней арифметической или ошибка репрезентативности. Для простого, взвешенного рядов и по правилу моментов:

Для расчета средних величин необходимо: однородность материала, достаточное число наблюдений. Если число наблюдений меньше 30, в формулах расчета σ и m используют n-1.

При оценке полученного результата по размеру средней ошибки пользуются доверительным коэффициентом, которые дает возможность определить вероятность правильного ответа, то есть он указывает на то, что полученная величина ошибки выборки будет не больше действительной ошибки, допущенной вследствие сплошного наблюдения. Следовательно, с увеличением доверительной вероятности увеличивается ширина доверительного интервала, что, в свою очередь повышает доверительность суждения, опорность полученного результата.

Оценка полученного результата по средней ошибке

Доверительный коэффициент (критерий точности) Опорность результата (досто-верность) Риск ошибки М ± 1m 68,3% 0,317 М ± 2m 95,5% 0,05 М ± 2.6m 99,0% 0,010 М ± 3m 99,7% 0,003 М ± 3,3m 99,9% 0,001

Конечный результат записывают в виде: М ± m.

Правило моментов

Им пользуются тогда, когда размах вариационного ряда небольшой, а числовое значение признаки достаточно велики. Однако, оно применимо в любом другом случае.

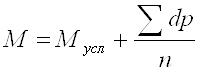
Первоначально выбирают условную среднюю арифметическую. Ей может быть мода или медиана. Далее используют формулы:

, где

– момент, а ∑dp – сумма произведений разности условной средней арифметической и каждой варианты на частоту ее встречаемости

, где

– используется при расчете σ для взвешенного ряда.

 - квадрат момента.

Более 800 000 книг и аудиокниг! 📚

Получи 2 месяца Литрес Подписки в подарок и наслаждайся неограниченным чтением

ПОЛУЧИТЬ ПОДАРОК